| Repetition | First roll | Second roll | X | Y | Event A occurs? | I[A] |
|---|---|---|---|---|---|---|
| 1 | 2 | 1 | 3 | 2 | False | 0 |
| 2 | 1 | 1 | 2 | 1 | False | 0 |
| 3 | 3 | 3 | 6 | 3 | True | 1 |
| 4 | 4 | 3 | 7 | 4 | False | 0 |
| 5 | 3 | 2 | 5 | 3 | True | 1 |
| 6 | 3 | 4 | 7 | 4 | True | 1 |
| 7 | 2 | 3 | 5 | 3 | False | 0 |
| 8 | 2 | 4 | 6 | 4 | False | 0 |
| 9 | 1 | 2 | 3 | 2 | False | 0 |
| 10 | 3 | 4 | 7 | 4 | True | 1 |
3 The Language of Simulation
A probability model of a random phenomenon consists of a sample space of possible outcomes, associated events and random variables, and a probability measure which encapsulates the model assumptions and determines probabilities of events and distributions of random variables. We will study strategies for computing probabilities, distributions, expected values, and more, but in many situations explicit computation is difficult. Simulation provides a powerful tool for working with probability models and solving complex problems.
Simulation involves using a probability model to artificially recreate a random phenomenon, usually using a computer. Given a probability model, we can simulate outcomes, occurrences of events, and values of random variables. Simulation can be used to approximate probabilities of events, distributions of random variables, expected values, and more.
Recall that the probability of an event can be interpreted as a long run relative frequency. Therefore the probability of an event can be approximated by simulating—according to the assumptions of the probability model—the random phenomenon a large number of times and computing the relative frequency of repetitions on which the event occurs.
Likewise, the expected value of a random variable can be interpreted as its long run average value, and can be approximated by simulating—according to the assumptions of the probability model—the random phenomenon a large number of times and computing the average value of the random variable over the simulated repetitions.
In general, a simulation involves the following steps.
- Set up. Define1 a probability space, and related random variables and events. The probability measure encodes all the assumptions of the model, but the probability measure is often only specified indirectly.
- Simulate. Simulate outcomes, occurrences of events, and values of random variables.
- Summarize. Summarize simulation output in plots and summary statistics (e.g., relative frequencies, averages, standard deviations, correlations) to describe and approximate probabilities, distributions, expected values, and more.
- Sensitivity analysis. Investigate how results respond to changes in assumptions or parameters of the simulation.
You might ask: if we have access to the probability measure, then why do we need simulation to approximate probabilities? Can’t we just compute them? Remember that the probability measure is often only specified indirectly, e.g. “flip a fair coin ten times and count the number of heads”. In most situations the probability measure does not provide an explicit formula for computing the probability of any particular event. And in many cases, it is impossible to enumerate all possible outcomes.
For example, a probabilistic model of a particular Atlantic Hurricane does not provide a mathematical formula for computing the probability that the hurricane makes landfall in the U.S. Nor does the model provide a comprehensive list of the uncountably many possible paths of the hurricane. Rather, the model reflects a set of assumptions under which possible paths can be simulated to approximate probabilities of events of interest like those depicted in Figure 3.1.
In this chapter we will use simulation to investigate some of the problems introduced in the previous chapter. We can solve many of these problems without simulation. But we like to introduce simulation via simple examples where we know the answers so we can get comfortable with the simulation process and easily check that it works.
3.1 Tactile simulation: Boxes and spinners
While we generally use technology to conduct large scale simulations, it is helpful to first consider how to conduct a simulation by hand using physical objects like coins, dice, cards, or spinners.
Many random phenomena can be represented in terms of a “box model2”
- Imagine a box containing “tickets” with labels. Examples include:
- Fair coin flip. 2 tickets: 1 labeled H and 1 labeled T
- Free throw attempt of a 90% free throw shooter. 10 tickets: 9 labeled “make” and 1 labeled “miss”
- Card shuffling. 52 cards: each card with a pair of labels (face value, suit).
- The tickets are shuffled in the box and some number are drawn out, either with replacement or without replacement of the tickets before the next draw3.
- In some cases, the order in which the tickets are drawn matters; in other cases the order is irrelevant. For example,
- Dealing a 5 card poker hand: Select 5 cards without replacement, order does not matter
- Random digit dialing: Select 4 cards with replacement from a box with tickets labeled 0 through 9 to represent the last 4 digits of a randomly selected phone number with a particular area code and exchange; order matters, e.g., 805-555-1212 is a different outcome than 805-555-2121.
- Then something is done with the tickets to determine which events of interest have occurred or to measure random variables. For example, you might flip a coin 10 times (by drawing from the H/T box 10 times with replacement) and check if there were at least 3 H in a row or count the number of H.
If the draws are made with replacement from a single box, we can think of a single circular “spinner” instead of a box, spun multiple times. For example:
- Fair coin flip. Spinner with half of the area corresponding to H and half T
- Free throw attempt of a 90% free throw shooter. Spinner with 90% of the area corresponding to “make” and 10% “miss”.
Note that we are able to simulate outcomes of the rolls and values of \(X\) and \(Y\) without defining the probability space in detail. That is, we do not need to list all the possible outcomes and events and their probabilities. Instead, the probability space is defined implicitly via the specification to “roll a fair four-sided die twice” or “draw two tickets with replacement from a box with four tickets labeled 1, 2, 3, 4” or “spin the spinner on the left of Figure 2.9 twice”. The random variables are defined by what is being measured for each outcome, the sum (\(X\)) and the max (\(Y\)) of the two draws or spins.
A simulation usually involves many repetitions. When conducting a simulation4 it is important to distinguish between what entails (1) one repetition of the simulation and its output, and (2) the simulation itself and output from many repetitions. When describing a simulation, refrain from making vague statements like “repeat this” or “do it again”, because “this” or “it” could refer to different elements of the simulation. In the dice example, (1) rolling a die is repeated to generate a single \((X, Y)\) pair, and (2) the process of generating \((X, Y)\) pairs is repeated to obtain the simulation results. That is, a single repetition involves an ordered pair of die rolls, resulting in an outcome \(\omega\), and the values of the sum \(X(\omega)\) and max \(Y(\omega)\) are computed for the outcome \(\omega\). The process described in the previous sentence is repeated many times to generate many outcomes and \((X, Y)\) pairs according to the probability model.
Think of simulation results being organized in a table like Table 3.1, where each row corresponds to a repetition of the simulation, resulting in a possible outcome of the random phenomenon, and each column corresponds to a different random variable or event. Remember that indicators are the bridge between events and random variables. On each repetition of the simulation an event either occurs or not; we could record the occurrence of an event as “true” or “false”, or we could record the value of the corresponding indicator random variable, 1 or 0.
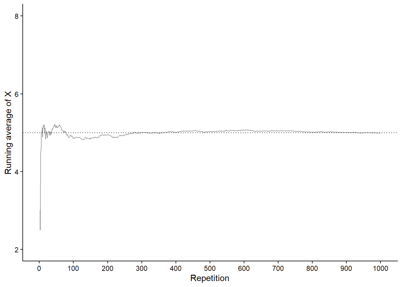
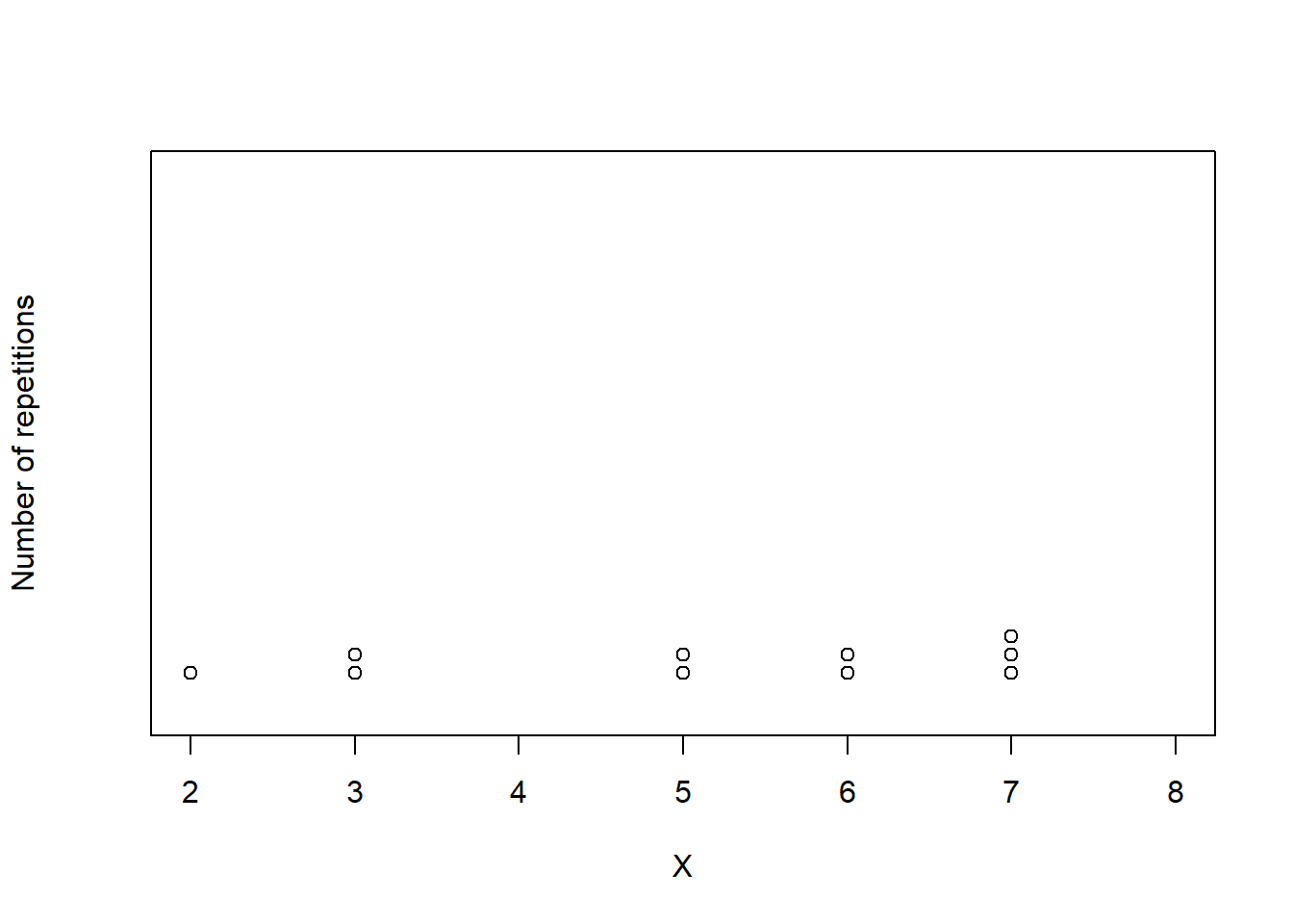
Figure 3.2 displays two plots summarizing the results in Table 3.1. Each dot represents the results of one repetition. Figure 3.2 (a) displays the simulated \((X, Y)\) pairs, Figure 3.2 (b) displays the simulated values of \(X\) alon along with their frequencies. While this simulation only consists of 10 repetitions, a larger scale simulation would follow the same process.
3.1.1 Exercises
Exercise 3.1 Recall the birthday problem of Example 2.48. Let \(B\) be the event that at least two people in a group of \(n\) share a birthday.
Describe in detail you could use physical objects (coins, cards, spinners, etc) to simulate by hand a single realization of \(B\) (that is, simulate whether or not \(B\) occurs).
Exercise 3.2 Maya is a basketball player who makes 40% of her three point field goal attempts. Suppose that at the end of every practice session, she attempts three pointers until she makes one and then stops. Let \(X\) be the total number of shots she attempts in a practice session. Assume shot attempts are independent, each with probability of 0.4 of being successful. Describe in detail you could use physical objects (coins, cards, spinners, etc) to simulate by hand a single value of \(X\).
Exercise 3.3 The latest series of collectible Lego Minifigures contains 3 different Minifigure prizes (labeled 1, 2, 3). Each package contains a single unknown prize. Suppose we only buy 3 packages and we consider as our sample space outcome the results of just these 3 packages (prize in package 1, prize in package 2, prize in package 3). For example, 323 (or (3, 2, 3)) represents prize 3 in the first package, prize 2 in the second package, prize 3 in the third package. Let \(X\) be the number of distinct prizes obtained in these 3 packages. Let \(Y\) be the number of these 3 packages that contain prize 1.
Describe in detail you could use physical objects (coins, cards, spinners, etc) to simulate by hand a single \((X, Y)\) pair.
3.2 Tactile simulation: Meeting problem
Now we’ll consider tactile simulation for a continuous sample space. Throughout this section we’ll consider the two-person meeting problem. We’ll continue to measure arrival times in minutes after noon, including fractions of a minute, so that arrival times take values on a continuous scale.
3.2.1 A uniform distribution
Notice that the values on the circular axis in Figure 3.3 are evenly spaced. For example, the intervals [0, 15], [15, 30], [30, 45], and [45, 60], all of length 15, each represent 25% of the spinner area. If we spin the idealized spinner represented by Figure 3.3 10 times, our results might look like those in Table 3.2.
| Spin | Result |
|---|---|
| 1 | 1.062914 |
| 2 | 17.729239 |
| 3 | 21.610468 |
| 4 | 27.190663 |
| 5 | 36.913450 |
| 6 | 19.604730 |
| 7 | 14.479123 |
| 8 | 25.198875 |
| 9 | 2.805937 |
| 10 | 17.456726 |
Notice the number of decimal places. If the sample space is [0, 60], any value in the continuous interval between 0 and 60 is a distinct possible value: 10.25000000000… is different from 10.25000000001… which is different from 10.2500000000000000000001… and so on.
Figure 3.4 displays the 10 values in Table 3.2 plotted along a number line. The values are roughly evenly spaced, but there is some natural variability. (Though it’s hard to discern any pattern with only 10 values.)
To simulate a (Regina, Cady) pair of arrival times, we would spin the Uniform(0, 60) spinner twice. Let \(R\) be the result of the first spin, representing Regina’s arrival time, and \(Y\) the second spin for Cady. Also let \(T=\min(R, Y)\) be the time (minutes after noon) at which the first person arrives, and \(W=|R-Y|\) be the time (minutes) the first person to arrive waits for the second person to arrive. Table 3.3 displays the values of \(R\), \(Y\), \(T\), \(W\) for 10 simulated repetitions, each repetition consisting of a pair of spins of the Uniform(0, 60) spinner.
| Repetition | R | Y | T | W |
|---|---|---|---|---|
| 1 | 49.50512 | 52.748971 | 49.505123 | 3.243848 |
| 2 | 55.38527 | 22.040907 | 22.040907 | 33.344360 |
| 3 | 7.52414 | 9.956804 | 7.524140 | 2.432664 |
| 4 | 51.33105 | 39.636179 | 39.636179 | 11.694869 |
| 5 | 43.77325 | 26.338476 | 26.338476 | 17.434775 |
| 6 | 42.51350 | 28.619413 | 28.619413 | 13.894083 |
| 7 | 31.15456 | 41.117529 | 31.154557 | 9.962971 |
| 8 | 44.01602 | 4.406319 | 4.406319 | 39.609700 |
| 9 | 35.46720 | 8.867082 | 8.867082 | 26.600122 |
| 10 | 56.58527 | 7.784337 | 7.784337 | 48.800934 |
Figure 3.5 plots the 10 simulated \((R, Y)\) pairs in Table 3.3
Now suppose we keep repeating the process, resulting in many simulated (Regina, Cady) pairs of arrival times. Figure 3.6 displays 1000 simulated pairs of arrival times, resulting from 1000 pairs of spins of the Uniform(0, 60) spinner.
We see that the pairs are fairly evenly distributed throughout the square with sides [0, 60] representing the sample space (though there is some “clumping” due to natural variability). If we simulated more values and summarized them in an appropriate plot, we would expect to see something like Figure 2.12.
3.2.2 A non-uniform distribution
Imagine we have an unlabeled circular spinner with an infinitely fine needle that after being spun well lands on a point on the spinner’s axis uniformly at random. Even though the needle lands uniformly, we can use the spinner to represent non-uniform probability measures by labeling the spinner’s circular axis appropriately. We can “stretch” intervals with higher probability, and “shrink” intervals with lower probability. We have already done this intuitively with discrete spinners; see Figure 1.6 and Figure 2.9. But the same idea applies to continuous spinners.
Figure 3.7 displays a “Normal(30, 10)” spinner. Only selected rounded values are displayed, but the needle can land—uniformly at random—at any point on the continuous circular axis. But pay close attention to the circular axis; the values are not equally spaced. For example, the bottom half of the spinner corresponds to the interval [23.26, 36.74], with length 13.48 minutes, while the upper half of the spinner corresponds to the intervals [0, 23.26] and [36.74, 60], with total length 46.52 minutes. Compared with the Uniform(0, 60) spinner, in the Normal(30, 10) spinner intervals near 30 are “stretched out” to reflect a higher probability of arriving near 12:30, while intervals near 0 and 60 are “shrunk” to reflect a lower probability of arriving near 12:00 or 1:00. The interval [20, 40] represents about 68% of the spinner area, so if we spin this spinner many times, about 68% of the spins will land in the interval [20, 40]. A person whose arrival time is represented by this spinner has a probability of about 0.68 of arriving within 10 minutes of 12:30 compared to \(20/60 = 0.33\) for the Uniform(0, 60) model, and a probability of about 0.05 of arriving with 10 minutes of either noon or 1:00, compared to \(20/60=0.33\) in the Uniform(0, 60) model. (The spinner on the left is divided into 12 wedges of equal area, so each wedge represents 8.33% of the probability. Not all values on the axis are labeled, but you can use the wedges to eyeball probabilities.)
The particular pattern represented by the spinner in Figure 3.7 is a Normal(30, 10) distribution; that is, a Normal distribution with mean 30 and standard deviation 10. We will see Normal distributions in much more detail later. For now, just know that a Normal(30, 10) model reflects one particular pattern of non-uniform probability5. Table 3.4 compares probabilities of selected intervals under the Uniform(0, 60) and Normal(30, 10) models.
| Interval | Uniform(0, 60) probability | Normal(30, 10) probability |
|---|---|---|
| [0, 10] | 0.167 | 0.025 |
| [10, 20] | 0.167 | 0.136 |
| [20, 30] | 0.167 | 0.341 |
| [30, 40] | 0.167 | 0.341 |
| [40, 50] | 0.167 | 0.136 |
| [50, 60] | 0.167 | 0.025 |
If we spin the idealized spinner represented by Figure 3.7 10 times, our results might look like those in Table 3.5.
| Spin | Result |
|---|---|
| 1 | 21.38732 |
| 2 | 50.71937 |
| 3 | 24.08964 |
| 4 | 32.68036 |
| 5 | 54.51060 |
| 6 | 38.11696 |
| 7 | 16.81857 |
| 8 | 22.97995 |
| 9 | 28.86703 |
| 10 | 43.43031 |
Figure 3.8 displays the 10 values in Table 3.5 plotted along a number line. We tend to see more values near 30 than near 0 or 60 (though it’s hard to discern any pattern with only 10 values).
If we spin the spinner in Figure 3.7 many times,
- About half of the simulated values would be below 30 and half above
- Because axis values near 30 are stretched out, values near 30 would occur with higher frequency than those near 0 or 60.
- The shape of the distribution would be symmetric about 30 since the axis spacing of values below 30 mirrors that for values above 30. For example, about 34% of values would be between 20 and 30, and also 34% between 30 and 40.
- About 68% of values would be between 20 and 40.
- About 95% of values would be between 10 and 50.
And so on. We could compute percentages for other intervals by measuring the areas of corresponding sectors on the spinner to complete the pattern of variability that values resulting from this spinner would follow. This particular pattern is called a “Normal(30, 10)” distribution, which we will explore in much more detail later (in particular, see Section 5.3).
Now suppose Regina’s and Cady’s arrival times are each reasonably modeled by a Normal(30, 10) model, independently of each other. To simulate a (Regina, Cady) pair of arrival times, we would spin the Normal(30, 10) spinner twice. Table 3.6 displays the results of 10 repetitions, each repetition resulting in a (Regina, Cady) pair.
| Repetition | Regina's time | Cady's time |
|---|---|---|
| 1 | 31.758630 | 50.89160 |
| 2 | 7.842356 | 34.23954 |
| 3 | 29.644008 | 40.34209 |
| 4 | 25.154312 | 26.89845 |
| 5 | 38.011497 | 32.04975 |
| 6 | 27.325808 | 42.97185 |
| 7 | 44.594399 | 38.65448 |
| 8 | 18.557759 | 30.99171 |
| 9 | 30.142711 | 36.53947 |
| 10 | 26.479249 | 30.23044 |
Figure 3.9 plots the 10 simulated pairs in Table 3.6
Figure 3.10 displays 1000 pairs of (Regina, Cady) arrival times, resulting from 1000 pairs of spins of the Normal(30, 10) spinner. Compared with the simulated pairs from the Uniform(0, 60) spinner (in Figure 3.6), we see many more simulated pairs in the center of the plot (when both arrive near 12:30) than in the corners of the plot (where either arrives near 12:00 or 1:00). If we simulated more values and summarized them in an appropriate plot, we would expect to see something like Figure 2.14.
Example 3.3 and Example 3.4 assumed that Regina’s and Cady’s arrival times individually followed the same model, both Uniform(0, 60) or both Normal(30, 10), so we just spun the same spinner twice to simulate a pair of arrival times. However, we could easily simulate from different models. Suppose Regina’s arrival time follows a Uniform(0, 60) model while Cady’s follows a Normal(30, 10) model, independently of each other. Then we could simulate a pair of arrival times by spinning the Uniform(0, 60) spinner for Regina and the Normal(30, 10) spinner for Cady.
So far we have assumed that Regina and Cady arrive independently, but what if they coordinate and their arrival times are related? Recall that Figure 2.15 reflects a model where Regina and Cady each are more likely to arrive around 12:30 than noon or 1:00, and also more likely to arrive around the same time. In such a situation, we could still use spinners to simulate pairs of arrival times, but it’s more involved than just spinning a single spinner twice (or having just one spinner for each person). We’ll revisit using spinners to simulate dependent pairs later.
3.2.3 Exercises
Exercise 3.4 Katniss throws a dart at a circular dartboard with radius 12 inches. Suppose that the dart lands uniformly at random anywhere on the dartboard, and assume that Katniss’s dart never misses the dartboard. Suppose that the dartboard is on a coordinate plane, with the center of the dartboard at (0, 0) and the north, south, east, and west edges, respectively, at coordinates (0, 12), (0,-12), (12, 0), (-12, 0). When the dart hits the board its \((X, Y)\) coordinates are recorded. Let \(R\) be the distance (inches) from the location of the dart to the center of the dartboard.
- Sketch a Uniform(0, 12) spinner.
- Describe how you could use a fair coin and the Uniform(0, 12) spinner to simulate the \((X, Y)\) coordinates of a single throw of the dart and the value of \(R\). Hint: you might need to flip the coin and spin the spinner multiple times. What will you do if your simulated coordinates correspond to “off the board”?
- Suppose you want to simulate \(R\) directly. Could you just spin the Uniform(0, 12) spinner and record the value? Explain. Hint: see Exercise 2.13.
Exercise 3.5 Continuing Exercise 3.4. Computing like we did in Exercise 2.13, we can show
| Range | Probability that $R$ is in range |
|---|---|
| 0 to 1 | 0.0069 |
| 1 to 2 | 0.0208 |
| 2 to 3 | 0.0347 |
| 3 to 4 | 0.0486 |
| 4 to 5 | 0.0625 |
| 5 to 6 | 0.0764 |
| 6 to 7 | 0.0903 |
| 7 to 8 | 0.1042 |
| 8 to 9 | 0.1181 |
| 9 to 10 | 0.1319 |
| 10 to 11 | 0.1458 |
| 11 to 12 | 0.1597 |
Sketch a spinner that could be used to simulate values of \(R\). You should label 12 sectors on the spinner. Hint: the sectors won’t be the same size and the values on the outside axis of the spinner won’t be evenly spaced.
3.3 Computer simulation: Dice rolling
We will perform computer simulations using the Python package Symbulate. The syntax of Symbulate mirrors the language of probability in that the primary objects in Symbulate are the same as the primary components of a probability model: probability spaces, random variables, events. Once these components are specified, Symbulate allows users to simulate many times from the probability model and summarize the results.
This section contains a brief introduction to Symbulate; more examples can be found throughout the text. Symbulate can be installed with pip.
pip install git+https://github.com/kevindavisross/symbulateImport Symbulate during a Python session using the following command.
from symbulate import *We’ll start with a dice rolling example. Unless indicated otherwise, in this section \(X\) represents the sum of two rolls of a fair four-sided die, and \(Y\) represents the larger of the two rolls (or the common value if a tie). We have already discussed a tactile simulation; now we’ll carry out the process on a computer.
There aren’t many examples for you to work in this section. Instead, we encourage you to open a Python session and copy and run the code as you read. In particular, you can run Python code using this template Colab notebook which includes the code needed to get started with Symbulate.
3.3.1 Simulating outcomes
The following Symbulate code defines a probability space6 P for simulating the 16 equally likely ordered pairs of rolls via a box model.
P = BoxModel([1, 2, 3, 4], size = 2, replace = True)The above code tells Symbulate to draw 2 tickets (size = 2), with replacement7, from a box with tickets labeled 1, 2, 3, and 4 (entered as the Python list [1, 2, 3, 4]). Each simulated outcome consists of an ordered8 pair of rolls .
The sim(r) command simulates r realizations of probability space outcomes (or events or random variables). Here is the result of one repetition.
P.sim(1)| Index | Result |
|---|---|
| 0 | (4, 4) |
And here are the results of 10 repetitions. (We will typically run thousands of repetitions, or more, but in this section we just run a few repetitions for illustration.)
P.sim(10)| Index | Result |
|---|---|
| 0 | (1, 3) |
| 1 | (1, 3) |
| 2 | (2, 4) |
| 3 | (1, 2) |
| 4 | (1, 2) |
| 5 | (1, 4) |
| 6 | (3, 1) |
| 7 | (2, 3) |
| 8 | (2, 3) |
| ... | ... |
| 9 | (3, 2) |
3.3.2 Simulating random variables
A Symbulate RV is specified by the probability space on which it is defined and the mapping function which defines it. Recall that \(X\) is the sum of the two dice rolls and \(Y\) is the larger (max).
X = RV(P, sum)
Y = RV(P, max)The above code simply defines the random variables. Again, we can simulate values with .sim(). Since every call to sim runs a new simulation, we typically store the simulation results as an object. The following commands simulate 100 values of the random variable X and store the results as x. For consistency with standard probability notation9, the random variable itself is denoted with an uppercase letter X, while the realized values of it are denoted with a lowercase letter x.
x = X.sim(100)
x # this just displays x; only the first few and last values will print| Index | Result |
|---|---|
| 0 | 6 |
| 1 | 7 |
| 2 | 4 |
| 3 | 4 |
| 4 | 8 |
| 5 | 5 |
| 6 | 5 |
| 7 | 3 |
| 8 | 6 |
| ... | ... |
| 99 | 4 |
3.3.3 Simulating multiple random variables
If we call X.sim(10000) and Y.sim(10000) we get two separate simulations of 10000 pairs of rolls, one which returns the sum of the rolls for each repetition, and the other the max. If we want to study relationships between \(X\) and \(Y\) we need to compute both \(X\) and \(Y\) for each pair of rolls in the same simulation.
We can simulate \((X, Y)\) pairs using10 &. We store the simulation output as x_and_y to emphasize that x_and_y contains pairs of values.
x_and_y = (X & Y).sim(10)
x_and_y # this just displays x_and_y| Index | Result |
|---|---|
| 0 | (4, 3) |
| 1 | (5, 4) |
| 2 | (3, 2) |
| 3 | (3, 2) |
| 4 | (5, 3) |
| 5 | (6, 3) |
| 6 | (5, 4) |
| 7 | (7, 4) |
| 8 | (4, 3) |
| ... | ... |
| 9 | (5, 4) |
Think of x_and_y as a table with two columns. We can select columns using brackets []. Remember that Python uses zero-based indexing, so 0 corresponds to the first column, 1 to the second, etc.
x = x_and_y[0]
x| Index | Result |
|---|---|
| 0 | 4 |
| 1 | 5 |
| 2 | 3 |
| 3 | 3 |
| 4 | 5 |
| 5 | 6 |
| 6 | 5 |
| 7 | 7 |
| 8 | 4 |
| ... | ... |
| 9 | 5 |
y = x_and_y[1]
y| Index | Result |
|---|---|
| 0 | 3 |
| 1 | 4 |
| 2 | 2 |
| 3 | 2 |
| 4 | 3 |
| 5 | 3 |
| 6 | 4 |
| 7 | 4 |
| 8 | 3 |
| ... | ... |
| 9 | 4 |
We can also select multiple columns.
x_and_y[0, 1]| Index | Result |
|---|---|
| 0 | (4, 3) |
| 1 | (5, 4) |
| 2 | (3, 2) |
| 3 | (3, 2) |
| 4 | (5, 3) |
| 5 | (6, 3) |
| 6 | (5, 4) |
| 7 | (7, 4) |
| 8 | (4, 3) |
| ... | ... |
| 9 | (5, 4) |
3.3.4 Simulating outcomes and random variables
When calling X.sim(10) or (X & Y).sim(10) the outcomes of the rolls are generated in the background but not saved. We can create a RV which returns the outcomes of the probability space11. The default mapping function for RV is the identity function, \(g(u) = u\), so simulating values of U = RV(P) below returns the outcomes of the BoxModel P representing the outcome of the two rolls.
U = RV(P)
U.sim(10)| Index | Result |
|---|---|
| 0 | (1, 4) |
| 1 | (3, 3) |
| 2 | (4, 3) |
| 3 | (3, 1) |
| 4 | (4, 3) |
| 5 | (1, 2) |
| 6 | (3, 4) |
| 7 | (3, 1) |
| 8 | (3, 3) |
| ... | ... |
| 9 | (4, 4) |
Now we can simulate and display the outcomes along with the values of \(X\) and \(Y\) using &.
(U & X & Y).sim(10)| Index | Result |
|---|---|
| 0 | ((4, 4), 8, 4) |
| 1 | ((1, 2), 3, 2) |
| 2 | ((1, 1), 2, 1) |
| 3 | ((2, 1), 3, 2) |
| 4 | ((3, 3), 6, 3) |
| 5 | ((2, 3), 5, 3) |
| 6 | ((4, 4), 8, 4) |
| 7 | ((2, 4), 6, 4) |
| 8 | ((3, 4), 7, 4) |
| ... | ... |
| 9 | ((3, 1), 4, 3) |
Because the probability space P returns pairs of values, U = RV(P) above defines a random vector. The individual components12 of U can be “unpacked” as U1, U2 in the following. Here U1 is an RV representing the result of the first roll and U2 the second.
U1, U2 = RV(P)
(U1 & U2 & X & Y).sim(10)| Index | Result |
|---|---|
| 0 | (1, 4, 5, 4) |
| 1 | (2, 4, 6, 4) |
| 2 | (3, 4, 7, 4) |
| 3 | (1, 3, 4, 3) |
| 4 | (3, 3, 6, 3) |
| 5 | (3, 4, 7, 4) |
| 6 | (3, 3, 6, 3) |
| 7 | (3, 1, 4, 3) |
| 8 | (3, 2, 5, 3) |
| ... | ... |
| 9 | (4, 1, 5, 4) |
3.3.5 Simulating events
Events involving random variables can also be defined and simulated. For programming reasons, events are enclosed in parentheses () rather than braces \(\{\}\). For example, we can define the event that the larger of the two rolls is less than 3, \(A=\{Y<3\}\), as
A = (Y < 3) # an eventWe can use sim to simulate events. A realization of an event is True if the event occurs for the simulated outcome, or False if not.
A.sim(10)| Index | Result |
|---|---|
| 0 | True |
| 1 | True |
| 2 | False |
| 3 | True |
| 4 | True |
| 5 | False |
| 6 | False |
| 7 | False |
| 8 | False |
| ... | ... |
| 9 | True |
For logical equality use a double equal sign ==. For example, (Y == 3) represents the event \(\{Y=3\}\).
(Y == 3).sim(10)| Index | Result |
|---|---|
| 0 | False |
| 1 | False |
| 2 | False |
| 3 | False |
| 4 | False |
| 5 | False |
| 6 | True |
| 7 | False |
| 8 | True |
| ... | ... |
| 9 | False |
In most situations, events of interest involve random variables. It is much more common to simulate random variables directly, rather than events; see Section 3.12.1 for further discussion. Events are primarily used in Symbulate for conditioning.
3.3.6 Simulating transformations of random variables
Transformations of random variables (defined on the same probability space) are random variables. If X is a Symbulate RV and g is a function, then g(X) is also a Symbulate RV.
For example, we can simulate values of \(X^2\). (In Python, exponentiation is represented by **; e.g., 2 ** 5 = 32.)
(X ** 2).sim(10)| Index | Result |
|---|---|
| 0 | 25 |
| 1 | 49 |
| 2 | 9 |
| 3 | 25 |
| 4 | 9 |
| 5 | 36 |
| 6 | 36 |
| 7 | 16 |
| 8 | 49 |
| ... | ... |
| 9 | 64 |
For many common functions (e.g., sqrt, log, cos), the syntax g(X) is sufficient. Here sqrt(u) is the square root function \(g(u) = \sqrt{u}\).
(X & sqrt(X)).sim(10)| Index | Result |
|---|---|
| 0 | (5, 2.23606797749979) |
| 1 | (7, 2.6457513110645907) |
| 2 | (5, 2.23606797749979) |
| 3 | (8, 2.8284271247461903) |
| 4 | (7, 2.6457513110645907) |
| 5 | (4, 2.0) |
| 6 | (3, 1.7320508075688772) |
| 7 | (4, 2.0) |
| 8 | (6, 2.449489742783178) |
| ... | ... |
| 9 | (2, 1.4142135623730951) |
For general functions, including user defined functions, the syntax for defining \(g(X)\) is X.apply(g). Here we define the function \(g(u) = (u-5)^2\) and then define13 the random variable \(g(X) = (X - 5)^2\).
# define a function g; u represents a generic input
def g(u):
return (u - 5) ** 2
# define the RV g(X)
Z = X.apply(g)
# simulate X and Z pairs
(X & Z).sim(10)| Index | Result |
|---|---|
| 0 | (6, 1) |
| 1 | (7, 4) |
| 2 | (5, 0) |
| 3 | (4, 1) |
| 4 | (6, 1) |
| 5 | (8, 9) |
| 6 | (3, 4) |
| 7 | (7, 4) |
| 8 | (7, 4) |
| ... | ... |
| 9 | (6, 1) |
We can also apply transformations of multiple RVs defined on the same probability space. (We will look more closely at how Symbulate treats this “same probability space” issue later.)
For example, we can simulate values of \(XY\), the product of \(X\) and \(Y\).
(X * Y).sim(10)| Index | Result |
|---|---|
| 0 | 12 |
| 1 | 6 |
| 2 | 12 |
| 3 | 28 |
| 4 | 15 |
| 5 | 28 |
| 6 | 8 |
| 7 | 24 |
| 8 | 8 |
| ... | ... |
| 9 | 32 |
Recall that we defined \(X\) via X = RV(P, sum). Defining random variables \(U_1, U_2\) to represent the individual rolls, we can define \(X=U_1 + U_2\). Recall that we previously defined14 U1, U2 = RV(P).
X = U1 + U2
X.sim(10)| Index | Result |
|---|---|
| 0 | 6 |
| 1 | 5 |
| 2 | 3 |
| 3 | 8 |
| 4 | 4 |
| 5 | 4 |
| 6 | 3 |
| 7 | 4 |
| 8 | 7 |
| ... | ... |
| 9 | 2 |
Unfortunately max(U1, U2) does not work, but we can use the apply syntax. Since we want to apply max to \((U_1, U_2)\) pairs, we must15 first join them together with &.
Y = (U1 & U2).apply(max)
Y.sim(10)| Index | Result |
|---|---|
| 0 | 3 |
| 1 | 4 |
| 2 | 4 |
| 3 | 2 |
| 4 | 3 |
| 5 | 3 |
| 6 | 3 |
| 7 | 3 |
| 8 | 2 |
| ... | ... |
| 9 | 4 |
3.3.7 Other probability spaces
So far we have assumed a fair four-sided die. Now consider the weighted die in Example 2.29: a single roll results in 1 with probability 0.1, 2 with probability 0.2, 3 with probability 0.3, and 4 with probability 0.4. BoxModel assumes equally likely tickets by default, but we can specify non-equally likely tickets using the probs option. The probability space WeightedRoll in the following code corresponds to a single roll of the weighted die; the default size option is 1.
WeightedRoll = BoxModel([1, 2, 3, 4], probs = [0.1, 0.2, 0.3, 0.4])
WeightedRoll.sim(10)| Index | Result |
|---|---|
| 0 | 4 |
| 1 | 4 |
| 2 | 4 |
| 3 | 3 |
| 4 | 2 |
| 5 | 2 |
| 6 | 4 |
| 7 | 3 |
| 8 | 3 |
| ... | ... |
| 9 | 4 |
We could add size = 2 to the BoxModel to create a probability space corresponding to two rolls of the weighted die. Alternatively, we can think of BoxModel([1, 2, 3, 4], probs = [0.1, 0.2, 0.3, 0.4]) as defining the middle spinner in Figure 2.9 that we want to spin two times, which we can do with ** 2.
Q = BoxModel([1, 2, 3, 4], probs = [0.1, 0.2, 0.3, 0.4]) ** 2
Q.sim(10)| Index | Result |
|---|---|
| 0 | (4, 4) |
| 1 | (4, 4) |
| 2 | (4, 3) |
| 3 | (3, 3) |
| 4 | (3, 3) |
| 5 | (2, 3) |
| 6 | (1, 2) |
| 7 | (4, 4) |
| 8 | (1, 3) |
| ... | ... |
| 9 | (4, 4) |
You can interpret BoxModel([1, 2, 3, 4], probs = [0.1, 0.2, 0.3, 0.4]) as defining the middle spinner in Figure 2.9 and ** 2 as “spin the spinner two times”. In Python, ** represents exponentiation; e.g., 2 ** 5 = 32. So BoxModel([1, 2, 3, 4]) ** 2 is equivalent to BoxModel([1, 2, 3, 4]) * BoxModel([1, 2, 3, 4]). In light of our discussion in Section 2.7, the product * notation should seem natural for independent spins.
We could use the product notation to define a probability space corresponding to a pair of rolls, one from a fair die and one from a weighted-die.
MixedRolls = BoxModel([1, 2, 3, 4]) * BoxModel([1, 2, 3, 4], probs = [0.1, 0.2, 0.3, 0.4])
MixedRolls.sim(10)| Index | Result |
|---|---|
| 0 | (4, 3) |
| 1 | (4, 4) |
| 2 | (2, 4) |
| 3 | (4, 4) |
| 4 | (1, 4) |
| 5 | (4, 4) |
| 6 | (3, 1) |
| 7 | (3, 3) |
| 8 | (1, 3) |
| ... | ... |
| 9 | (3, 3) |
Now consider the weighted die from Example 2.30, represented by the spinner in Figure 2.9 (c). We could use the probs option, but we can also imagine a box model with 15 tickets—four tickets labeled 1, six tickets labeled 2, three tickets labeled 3, and two tickets labeled 4—from which a single ticket is drawn. A BoxModel can be specified in this way using the following {label: number of tickets with the label} formulation16. This formulation is especially useful when multiple tickets are drawn from the box without replacement.
Q = BoxModel({1: 4, 2: 6, 3: 3, 4: 2})
Q.sim(10)| Index | Result |
|---|---|
| 0 | 2 |
| 1 | 2 |
| 2 | 2 |
| 3 | 3 |
| 4 | 2 |
| 5 | 3 |
| 6 | 1 |
| 7 | 2 |
| 8 | 2 |
| ... | ... |
| 9 | 1 |
While many scenarios can be represented by box models, there are also many Symbulate probability spaces other than BoxModel. When tickets are equally likely and sampled with replacement, a Discrete Uniform model can also be used. Think of a DiscreteUniform(a, b) probability space corresponding to a spinner with sectors of equal area labeled with integer values from a to b (inclusive). For example, the spinner in Figure 2.9 (a) corresponds to the DiscreteUniform(1, 4) model. This gives us another way to represent the probability space corresponding to two rolls of a fair-four sided die.
P = DiscreteUniform(1, 4) ** 2
P.sim(10)| Index | Result |
|---|---|
| 0 | (4, 1) |
| 1 | (3, 2) |
| 2 | (1, 2) |
| 3 | (2, 4) |
| 4 | (1, 3) |
| 5 | (4, 4) |
| 6 | (1, 3) |
| 7 | (3, 3) |
| 8 | (2, 1) |
| ... | ... |
| 9 | (3, 4) |
Note that BoxModel is the only probability space with the size argument. For other probability spaces, the product * or exponentiation ** notation must be used to simulate multiple spins.
This section has only introduced how to set up a probability model and simulate realizations. We’ll see how to summarize and use simulation output soon.
3.3.8 Exercises
Exercise 3.6 The latest series of collectible Lego Minifigures contains 3 different Minifigure prizes (labeled 1, 2, 3). Each package contains a single unknown prize. Suppose we only buy 3 packages and we consider as our sample space outcome the results of just these 3 packages (prize in package 1, prize in package 2, prize in package 3). For example, 323 (or (3, 2, 3)) represents prize 3 in the first package, prize 2 in the second package, prize 3 in the third package. Let \(X\) be the number of distinct prizes obtained in these 3 packages. Let \(Y\) be the number of these 3 packages that contain prize 1.
Write Symbulate code to define an appropriate probability space and random variables, and simulate a few repetitions. Hint: you’ll need to define a function to define \(X\); try len(unique(...))
Exercise 3.7 Continuing Exercise 3.6. Now suppose that 10% of boxes contain prize 1, 30% contain prize 2, and 60% contain prize 3. Write Symbulate code to define an appropriate probability space and random variables, and simulate a few repetitions.
Exercise 3.8 Recall the birthday problem of Example 2.48. Let \(B\) be the event that at least two people in a group of \(n\) share a birthday.
Write Symbulate code to define an appropriate probability space, and simulate a few realizations of \(B\) (that is, simulate whether or not \(B\) occurs).
Exercise 3.9 Maya is a basketball player who makes 40% of her three point field goal attempts. Suppose that at the end of every practice session, she attempts three pointers until she makes one and then stops. Let \(X\) be the total number of shots she attempts in a practice session. Assume shot attempts are independent, each with probability of 0.4 of being successful.
Write Symbulate code to define an appropriate probability space and random variable, and simulate a few repetitions.
3.4 Computer simulation: Meeting problem
Now we’ll introduce computer simulation of the continuous models in Section 3.2. Throughout this section we’ll consider the two-person meeting problem. Let \(R\) be the random variable representing Regina’s arrival time (minutes after noon, including fractions of a minute), and \(Y\) for Cady. Also let \(T=\min(R, Y)\) be the time (minutes after noon) at which the first person arrives, and \(W=|R-Y|\) be the time (minutes) the first person to arrive waits for the second person to arrive.
3.4.1 Independent Uniform model
First consider the situation of Example 3.3 where Regina and Cady each arrive at a time uniformly at random in [0, 60], independently of each other. The following code defines a Uniform(0, 60) spinner17, like in Figure 3.3, which we spin twice to get the (Regina, Cady) pair of outcomes.
P = Uniform(0, 60) ** 2
P.sim(10)| Index | Result |
|---|---|
| 0 | (17.641354572384987, 10.279104602317515) |
| 1 | (12.41922770677634, 15.88212589641519) |
| 2 | (19.078133943488616, 18.30751044961434) |
| 3 | (21.994898636088763, 0.4734877889506728) |
| 4 | (28.698591886679644, 50.026659807049285) |
| 5 | (9.936831148366156, 56.25207322384686) |
| 6 | (17.4031612282411, 45.29063128071348) |
| 7 | (56.66534968205479, 52.57670900203602) |
| 8 | (4.289111101971351, 57.27872911734044) |
| ... | ... |
| 9 | (5.281482458766096, 2.0931117451321835) |
Notice (again) the number of decimal places; any value in the continuous interval between 0 and 60 is a distinct possible value
A probability space outcome is a (Regina, Cady) pair of arrival times. We can define the random variables \(R\) and \(Y\), representing the individual arrival times, by “unpacking” the outcomes.
R, Y = RV(P)
(R & Y).sim(10)| Index | Result |
|---|---|
| 0 | (41.85406583544867, 54.016431651922616) |
| 1 | (58.77454849475427, 56.756051802604965) |
| 2 | (20.56110817563906, 47.95063132167906) |
| 3 | (53.908537502413054, 33.79374969707158) |
| 4 | (0.4732678265049084, 28.351179872976868) |
| 5 | (45.641413114916745, 44.65711494416736) |
| 6 | (8.229428593451756, 9.189378766591439) |
| 7 | (33.077021307566206, 10.991922332334543) |
| 8 | (8.358597398754803, 2.092315952856154) |
| ... | ... |
| 9 | (50.475380674401656, 0.4178974489619658) |
We can define \(W = |R-Y|\) using the abs function. In order to define \(T = \min(R, Y)\) we need to use the apply syntax with R & Y.
W = abs(R - Y)
T = (R & Y).apply(min)Now we can simulate values of \(R\), \(Y\), \(T\), and \(W\) with a single call to sim. Each row in the resulting Table 3.7 corresponds to a single simulated outcome (pair of arrival times).
(R & Y & T & W).sim(10)| Index | Result |
|---|---|
| 0 | (4.263101928048032, 8.64427214024298, 4.263101928048032, 4.381170212194949) |
| 1 | (30.072533298555364, 23.43688207251602, 23.43688207251602, 6.635651226039343) |
| 2 | (34.12023548742578, 3.631015521309684, 3.631015521309684, 30.489219966116096) |
| 3 | (40.593795733516934, 44.12520404930869, 40.593795733516934, 3.531408315791758) |
| 4 | (50.24063689137605, 49.76393197547839, 49.76393197547839, 0.4767049158976562) |
| 5 | (40.13324445020929, 22.424832637715642, 22.424832637715642, 17.708411812493647) |
| 6 | (22.396494365771584, 28.92179916337415, 22.396494365771584, 6.5253047976025655) |
| 7 | (4.109637298102897, 22.841062605866775, 4.109637298102897, 18.731425307763878) |
| 8 | (7.603099339449768, 48.773006730746026, 7.603099339449768, 41.169907391296256) |
| ... | ... |
| 9 | (31.35798736291815, 25.576598644773274, 25.576598644773274, 5.781388718144875) |
We can simulate values of \(R\) and plot them along a number line in a “rug” plot; compare to Figure 3.4. Notice how we have chained together the sim and plot commands. (We’ll see some more interesting and useful plots later.)
plt.figure()
R.sim(100).plot('rug')
plt.show()
Calling .plot() (without 'rug') for simulated values of a continuous random variable produces a histogram, which we will discuss in much more detail in Chapter 5.
plt.figure()
R.sim(10000).plot()
plt.show()
We can simulate and plot many \((R, Y)\) pairs of arrival times; compare to Figure 3.6 (without the rug).
(R & Y).sim(1000).plot()
When plotting simulated pairs, the first component is plotted on the horizontal axis and the second component on the vertical axis. In the following plots, we’ll import matplotlib.pyplot as plt and use plt.xlabel("x-axis text") and plt.ylabel("y-axis text")to label axes.
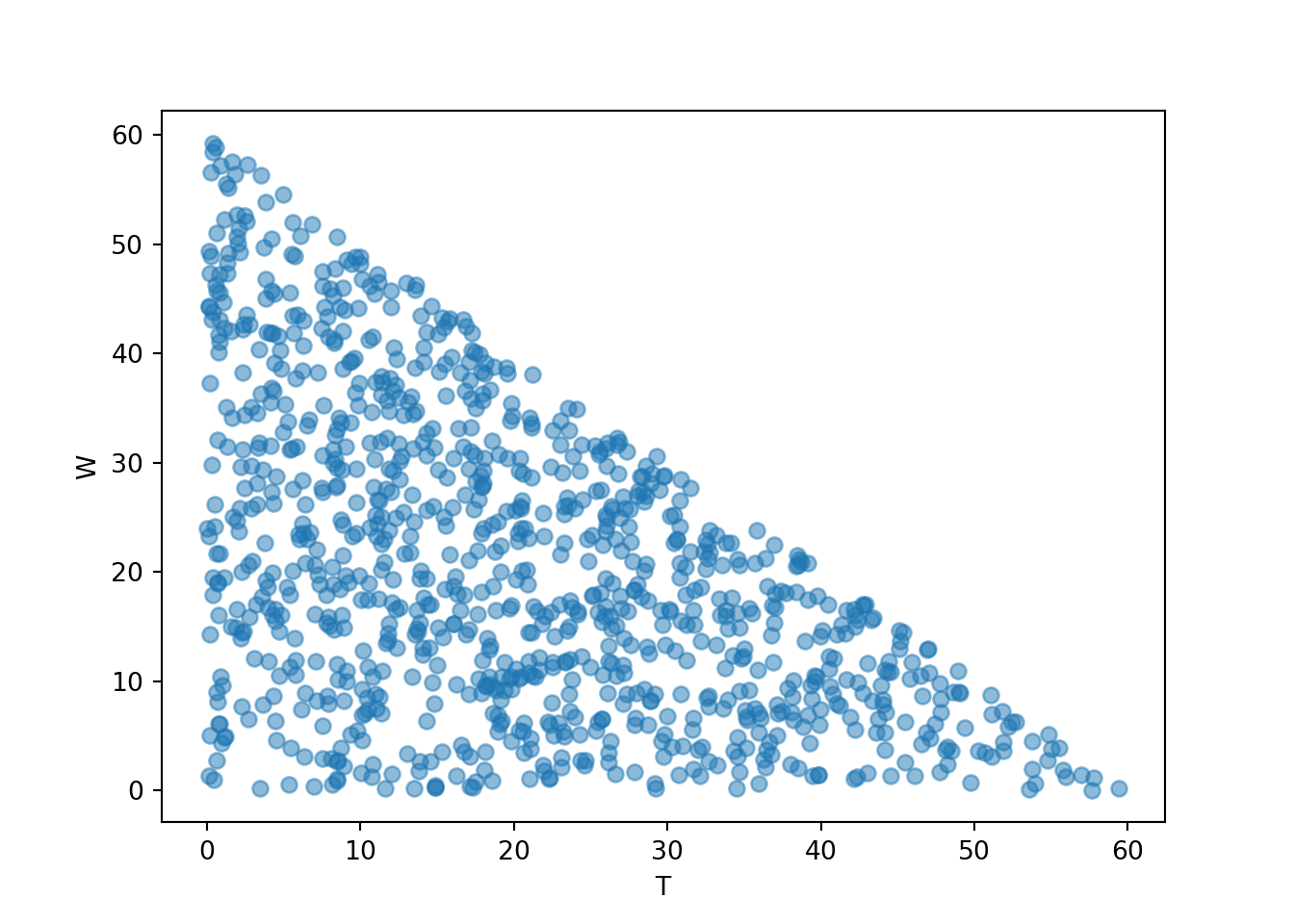
We can also simulate and plot many \((T, W)\) pairs. For purposes of illustration, first we simulate all four random variables, then we’ll select the columns corresponding to \((T, W)\) and plot the simulated pairs.
import matplotlib.pyplot as plt
meeting_sim = (R & Y & T & W).sim(1000)
meeting_sim[2, 3].plot()
plt.xlabel("T")
plt.ylabel("W")
3.4.2 Independent Normal model
Now consider a Normal(30, 10) model, represented by the spinner in Figure 3.7.
Normal(mean = 30, sd = 10).sim(10)| Index | Result |
|---|---|
| 0 | 34.36699251591295 |
| 1 | 29.89272408014123 |
| 2 | 24.8798074009082 |
| 3 | 35.301076397298964 |
| 4 | 28.8018551220353 |
| 5 | 47.48197369787165 |
| 6 | 26.854094099759507 |
| 7 | 8.308056591569411 |
| 8 | 20.379975189583355 |
| ... | ... |
| 9 | 20.531908737795742 |
We define a probability space corresponding to (Regina, Cady) pairs of arrival times, by assuming that their arrival times individually follow a Normal(30, 10) model, independently of each other. That is, we spin the Normal(30, 10) spinner twice to simulate a pair of arrival times.
P = Normal(30, 10) ** 2
P.sim(10)| Index | Result |
|---|---|
| 0 | (25.526952819232772, 53.647177301416534) |
| 1 | (45.08057146131936, 28.62561851066699) |
| 2 | (37.796876490441065, 5.507396181169753) |
| 3 | (30.4219475320437, 44.51715619922504) |
| 4 | (21.50862136658064, 18.9859393379374) |
| 5 | (50.6503483781549, 27.26018749676494) |
| 6 | (37.4284527786448, 25.09526760977524) |
| 7 | (52.644707931, 42.96655543076358) |
| 8 | (6.02564107384978, 24.04219601089075) |
| ... | ... |
| 9 | (22.738540578815865, 25.325180612776798) |
We can unpack the individual \(R\), \(Y\) random variables and define \(W\), \(T\) as before.
R, Y = RV(P)
W = abs(R - Y)
T = (R & Y).apply(min)We can simulate values of \(R\) and plot them along a number line in a rug plot; compare to Figure 3.8. (Technically, the Normal(30, 10) assigns small but positive probability to values outside of [0, 60], so we might see some values outside of [0, 60].)
plt.figure()
R.sim(100).plot('rug')
plt.show()
We can simulate many values and summarize them in a histogram. We’ll discuss histograms in more detail later, but notice that the histogram conveys that for a Normal(30, 10) distribution values near 30 are more likely than values near 0 or 60.
plt.figure()
R.sim(10000).plot()
plt.show()
We can simulate and plot many \((R, Y)\) pairs of arrival times; compare to Figure 3.10 (without the rug).
(R & Y).sim(1000).plot()
plt.xlabel("R");
plt.ylabel("Y");
We can also simulate and plot many \((T, W)\) pairs. Notice that the plot looks quite different from the one for the independent Uniform(0, 60) model for arrival times.
meeting_sim = (R & Y & T & W).sim(1000)
meeting_sim[2, 3].plot()
plt.xlabel("T");
plt.ylabel("W");
3.4.3 Bivariate Normal model
Now assume that Regina and Cady tend to arrive around the same time. We haven’t yet seen how to construct spinners to reflect dependence, but we’ll briefly introduce a particular model and some code. One way to model pairs of values that have a relationship or correlation is with a BivariateNormal model, like in the following.
P = BivariateNormal(mean1 = 30, sd1 = 10, mean2 = 30, sd2 = 10, corr = 0.7)
P.sim(10)| Index | Result |
|---|---|
| 0 | (46.29377271361334, 44.6617485721662) |
| 1 | (30.846072113770294, 27.371379313173115) |
| 2 | (23.7199274511314, 20.684000458988073) |
| 3 | (47.55476646762313, 46.727024440633) |
| 4 | (23.97205215354839, 41.52565999176303) |
| 5 | (19.540536182268667, 21.728970573940728) |
| 6 | (36.24164963838549, 36.31883895118515) |
| 7 | (56.677365937065986, 47.43571287106073) |
| 8 | (35.70420911719464, 43.172942419694785) |
| ... | ... |
| 9 | (25.357373758412162, 24.328108021694153) |
Note that a BivariateNormal probability space returns pairs directly. We can unpack the pairs as before, and plot some simulated values.
R, Y = RV(P)
(R & Y).sim(1000).plot()
plt.xlabel("R");
plt.ylabel("Y");
Now we see that Regina and Cady tend to arrive near the same time, similar to Figure 2.15.
If we plot \((T, W)\) pairs, we expect values of the waiting time \(W\) to tend to be closer to 0 than in the independent arrivals models. Compare the scale on the vertical axis, corresponding to \(W\), in each of the three plots of \((T, W)\) pairs in this section.
W = abs(R - Y)
T = (R & Y).apply(min)
meeting_sim = (R & Y & T & W).sim(1000)
meeting_sim[2, 3].plot()
plt.xlabel("T");
plt.ylabel("W");
A call to sim always simulates independent repetitions from the model, but be careful about what this means. In the Bivariate Normal model, the \(R\) and \(Y\) values are dependent within a repetition. However, the \((R, Y)\) pairs are independent between repetitions. Thinking in terms of a table, the \(R, Y\) columns are dependent, but the rows are independent.
We will study specific probability models like Normal and BivariateNormal in much more detail as we go.
3.4.4 Exercises
Exercise 3.10 Write Symbulate code to conduct the simulation in Exercise 3.4. Caveat: don’t worry about the code to discard repetitions where the dart lands off the board. (We’ll return to this later.)
Exercise 3.11 Consider a continuous version of the dice rolling problem where instead of rolling two fair four-sided dice (which return values 1, 2, 3, 4) we spin twice a Uniform(1, 4) spinner (which returns any value in the continuous range between 1 and 4). Let \(X\) be the sum of the two spins and let \(Y\) be the larger of the two spins. Write Symbulate code to define an appropriate probability space and random variables, and simulate a few repetitions.
3.5 Approximating probabilities: Relative frequencies
We can use simulation-based relative frequencies to approximate probabilities. That is, the probability of event \(A\) can be approximated by simulating—according to the assumptions encoded in the probability measure \(\textrm{P}\)—the random phenomenon a large number of times and computing the relative frequency of \(A\).
\[ {\small \textrm{P}(A) \approx \frac{\text{number of repetitions on which $A$ occurs}}{\text{number of repetitions}}, \quad \text{for a large number of repetitions simulated according to $\textrm{P}$} } \]
In practice, many repetitions of a simulation are performed on a computer to approximate what happens in the “long run”. However, we often start by carrying out a few repetitions by hand to help make the process more concrete.
You might have noticed that many of the simulated relative frequencies in Example 3.5 provide terrible estimates of the corresponding probabilities. For example, the true probability that the first roll is a 3 is \(\textrm{P}(A) = 0.25\) while the simulated relative frequency is 0.4. The problem is that the simulation only consisted of 10 repetitions. Probabilities can be approximated by long run relatively frequencies, but 10 repetitions certainly doesn’t qualify as the long run! The more repetitions we perform the better our estimates should be. But how many repetitions is sufficient? And how accurate are the estimates? We will address these issues in Section 3.6.
3.5.1 A few Symbulate commands for summarizing simulation output
We’ll continue with the dice rolling example. Recall the setup.
P = DiscreteUniform(1, 4) ** 2
X = RV(P, sum)
Y = RV(P, max)First we’ll simulate and store 10 values of \(X\).
x = X.sim(10)
x # displays the simulated values| Index | Result |
|---|---|
| 0 | 7 |
| 1 | 3 |
| 2 | 2 |
| 3 | 5 |
| 4 | 5 |
| 5 | 8 |
| 6 | 5 |
| 7 | 4 |
| 8 | 6 |
| ... | ... |
| 9 | 5 |
Suppose we want to find the relative frequency of 6. We can count the number of simulated values equal to 6 with count_eq().
x.count_eq(6)1
The count is the frequency. To find the relative frequency we simply divide by the number of simulated values.
x.count_eq(6) / 100.1
We can find frequencies of other events using the “count” functions:
count_eq(u): count equal to (\(=\))ucount_neq(u): count not equal to (\(\neq\))ucount_leq(u): count less than or equal to (\(\le\))ucount_lt(u): count less than (\(<\))ucount_geq(u): count greater than or equal to (\(\ge\))ucount_gt(u): count greater than (\(>\))ucount: count according to a custom True/False criteria (see examples below)
Using count() with no inputs to defaults to “count all”, which provides a way to count the total number of simulated values. (This is especially useful when conditioning.)
x.count_eq(6) / x.count()0.1
The tabulate method provides a quick summary of the individual simulated values and their frequencies.
x.tabulate()| Value | Frequency |
|---|---|
| 2 | 1 |
| 3 | 1 |
| 4 | 1 |
| 5 | 4 |
| 6 | 1 |
| 7 | 1 |
| 8 | 1 |
| Total | 10 |
By default, tabulate returns frequencies (counts). Adding the argument19 normalize = True returns relative frequencies (proportions).
x.tabulate(normalize = True)| Value | Relative Frequency |
|---|---|
| 2 | 0.1 |
| 3 | 0.1 |
| 4 | 0.1 |
| 5 | 0.4 |
| 6 | 0.1 |
| 7 | 0.1 |
| 8 | 0.1 |
| Total | 1.0 |
We often initially simulate a small number of repetitions to see what the simulation is doing and check that it is working properly. However, in order to accurately approximate probabilities or distribution we simulate a large number of repetitions (usually thousands for our purposes). Now let’s simulate many \(X\) values and summarize the results.
x = X.sim(10000)
x.tabulate(normalize = True)| Value | Relative Frequency |
|---|---|
| 2 | 0.062 |
| 3 | 0.122 |
| 4 | 0.1847 |
| 5 | 0.2475 |
| 6 | 0.1927 |
| 7 | 0.1261 |
| 8 | 0.065 |
| Total | 1.0 |
Compare to Table 2.14; with 10000 repetitions the simulation based approximations are pretty close to the theoretical probabilities.
Graphical summaries play an important role in analyzing simulation output. We have previously seen rug plots of individual simulated values. Rug plot emphasize that realizations of a random variable are numbers along a number line. However, a rug plot does not adequately summarize relative frequencies. Instead, calling .plot() for simulated values of a discrete random variable produces20 an impulse plot which displays the simulated values and their relative frequencies; see Figure 3.11 and compare to Figure 2.16. Since we stored the simulated values as x, the same simulated values are used to produce Table 3.8 and Figure 3.11.
x.plot()
Now we simulate and summarize a few \((X, Y)\) pairs.
x_and_y = (X & Y).sim(10)
x_and_y | Index | Result |
|---|---|
| 0 | (6, 4) |
| 1 | (3, 2) |
| 2 | (4, 3) |
| 3 | (4, 3) |
| 4 | (8, 4) |
| 5 | (4, 2) |
| 6 | (2, 1) |
| 7 | (4, 2) |
| 8 | (3, 2) |
| ... | ... |
| 9 | (8, 4) |
Pairs of values can also be tabulated.
x_and_y.tabulate()| Value | Frequency |
|---|---|
| (2, 1) | 1 |
| (3, 2) | 2 |
| (4, 2) | 2 |
| (4, 3) | 2 |
| (6, 4) | 1 |
| (8, 4) | 2 |
| Total | 10 |
x_and_y.tabulate(normalize = True)| Value | Relative Frequency |
|---|---|
| (2, 1) | 0.1 |
| (3, 2) | 0.2 |
| (4, 2) | 0.2 |
| (4, 3) | 0.2 |
| (6, 4) | 0.1 |
| (8, 4) | 0.2 |
| Total | 1.0 |
Individual pairs can be plotted in a scatter plot, which is a two-dimensional analog of a rug plot.
x_and_y.plot()
The values can be “jittered” slightly, as below, so that points do not coincide.
x_and_y.plot(jitter = True)
The two-dimensional analog of an impulse plot is a tile plot. For two discrete variables, the 'tile' plot type produces a tile plot (a.k.a. heat map) where rectangles represent the simulated pairs with their relative frequencies visualized on a color scale.
x_and_y.plot('tile')
Custom functions can be used with count to compute relative frequencies of events involving multiple random variables. Suppose we want to approximate \(\textrm{P}(X<6, Y \ge 2)\). We first define a Python function which takes as an input a pair u = (u[0], u[1]) and returns True if u[0] < 6 and u[1] >= 2.
def is_x_lt_6_and_y_ge_2(u):
if u[0] < 6 and u[1] >= 2:
return True
else:
return FalseNow we can use this function along with count to find the simulated relative frequency of the event \(\{X <6, Y \ge 2\}\). Remember that x_and_y stores \((X, Y)\) pairs of values, so the first coordinate x_and_y[0] represents values of \(X\) and the second coordinate x_and_y[1] represents values of \(Y\).
x_and_y.count(is_x_lt_6_and_y_ge_2) / x_and_y.count()0.6
We could also count use Boolean logic; basically using indicators and the property \(\textrm{I}_{\{X<6,Y\ge 2\}}=\textrm{I}_{\{X<6\}}\textrm{I}_{\{Y\ge 2\}}\).
((x_and_y[0] < 6) * (x_and_y[1] >= 2)).count_eq(True) / x_and_y.count()0.6
Now we simulate many \((X, Y)\) pairs and summarize their frequencies.
x_and_y = (X & Y).sim(10000)
x_and_y.tabulate()| Value | Frequency |
|---|---|
| (2, 1) | 646 |
| (3, 2) | 1202 |
| (4, 2) | 601 |
| (4, 3) | 1275 |
| (5, 3) | 1277 |
| (5, 4) | 1239 |
| (6, 3) | 651 |
| (6, 4) | 1247 |
| (7, 4) | 1232 |
| (8, 4) | 630 |
| Total | 10000 |
Here are the relative frequencies; compare with Table 2.16.
x_and_y.tabulate(normalize = True)| Value | Relative Frequency |
|---|---|
| (2, 1) | 0.0646 |
| (3, 2) | 0.1202 |
| (4, 2) | 0.0601 |
| (4, 3) | 0.1275 |
| (5, 3) | 0.1277 |
| (5, 4) | 0.1239 |
| (6, 3) | 0.0651 |
| (6, 4) | 0.1247 |
| (7, 4) | 0.1232 |
| (8, 4) | 0.063 |
| Total | 1.0 |
When there are thousands of simulated pairs, a scatter plot does not adequately display relative frequencies, even with jittering.
x_and_y.plot(jitter = True)
The tile plot provides a better summary. Notice how the colors represent the relative frequencies in the previous table.
x_and_y.plot('tile')
Finally, we find the simulated relative frequency of the event \(\{X <6, Y \ge 2\}\).
x_and_y.count(is_x_lt_6_and_y_ge_2) / x_and_y.count()0.5594
3.5.2 Approximating probabilities in the meeting problem
An event either happens or not. Regardless of whether an event involves a discrete or continuous random variable, the probability of the event is approximated in the same way. However, the kinds of events we’re interested in differ between those involving discrete and those involving continuous random variables. The probability that a continuous random variable is equal to any particular value is 0, so we’re not interested in approximating “equals to” probabilities for continuous random variables. When dealing with continuous random variables in practice, “equals to” is really “close to”, and we compute approximate “close to” probabilities with relative frequencies are usual. (Later, we’ll see what it means to condition on a continuous random variable being equal to some value.)
To get better approximations for the probabilities in Example 3.3 we would need to simulate many more repetitions. But the process of approximating probabilities with simulated relative frequencies is the same as in Example 3.3.
Simulation can also be used to investigate how sensitive (approximate) probabilities are to changes in assumptions.
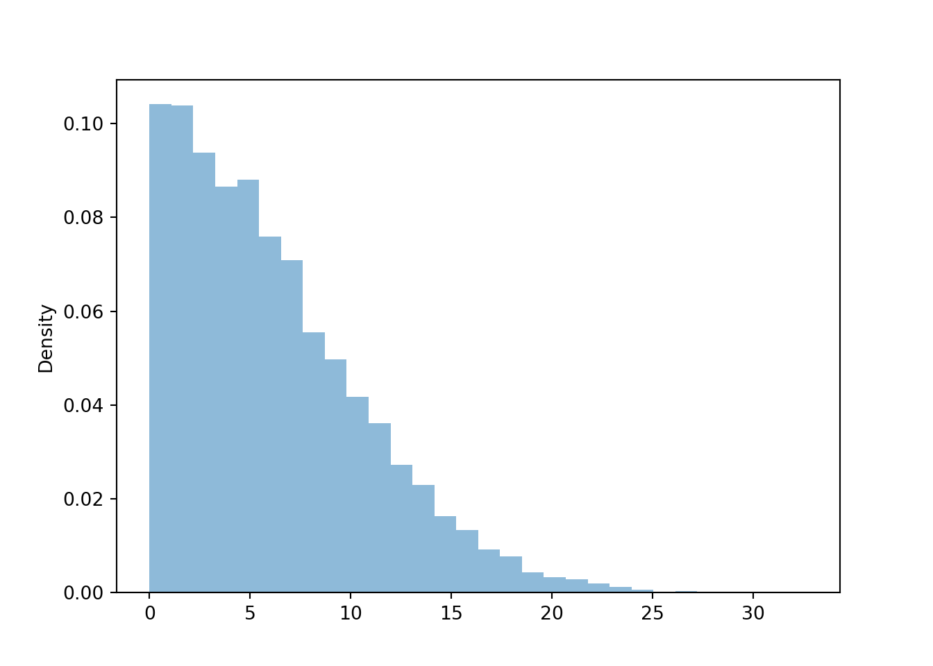
We have previously seen rug plots of individual simulated values. Rug plot emphasize that realizations of a random variable are numbers along a number line. However, a rug plot does not adequately summarize the distribution of values. Instead, calling .plot() for simulated values of a continuous random variable produces a histogram.
plt.figure()
w.plot()
plt.show()
We will cover histograms and marginal distributions of continuous random variables in much more detail in Chapter 5.
3.5.3 Exercises
Exercise 3.12 The latest series of collectible Lego Minifigures contains 3 different Minifigure prizes (labeled 1, 2, 3). Each package contains a single unknown prize. Suppose we only buy 3 packages and we consider as our sample space outcome the results of just these 3 packages (prize in package 1, prize in package 2, prize in package 3). For example, 323 (or (3, 2, 3)) represents prize 3 in the first package, prize 2 in the second package, prize 3 in the third package. Let \(X\) be the number of distinct prizes obtained in these 3 packages. Let \(Y\) be the number of these 3 packages that contain prize 1.
- Explain how you could, in principle, conduct a simulation by hand and use the results to approximate
- \(\textrm{P}(X = 2)\)
- \(\textrm{P}(Y = 1)\)
- \(\textrm{P}(X = 2, Y = 1)\)
- Write Symbulate code to conduct a simulation and approximate the values in part 1.
- Write Sybulate code to conduct a simulation and approximate
- Marginal distribution of \(X\)
- Marginal distribution of \(Y\)
- Joint distribution of \(X\) and \(Y\)
Exercise 3.13 Repeat Exercise 3.12, but now assuming that 10% of boxes contain prize 1, 30% contain prize 2, and 60% contain prize 3.
Exercise 3.14 Maya is a basketball player who makes 40% of her three point field goal attempts. Suppose that at the end of every practice session, she attempts three pointers until she makes one and then stops. Let \(X\) be the total number of shots she attempts in a practice session. Assume shot attempts are independent, each with probability of 0.4 of being successful.
- Explain in words you could use simulation to approximate the distribution of \(X\) and \(\textrm{P}(X > 3)\).
- Write Symbulate code to approximate the distribution of \(X\) and \(\textrm{P}(X > 3)\).
Exercise 3.15 Consider a continuous version of the dice rolling problem where instead of rolling two fair four-sided dice (which return values 1, 2, 3, 4) we spin twice a Uniform(1, 4) spinner (which returns any value in the continuous range between 1 and 4). Let \(X\) be the sum of the two spins and let \(Y\) be the larger of the two spins.
- Describe in words how you could use simulation to approximate
- \(\textrm{P}(X < 3.5)\)
- \(\textrm{P}(Y > 2.7)\)
- \(\textrm{P}(X < 3.5, Y > 2.7)\)
- Write Symbulate code to conduct a simulation to approximate, via plots
- the marginal distribution of \(X\)
- the marginal distribution of \(Y\)
- the joint distribution of \(X\) and \(Y\)
- The probabilities from part 1
3.6 Approximating probabilities: Simulation margin of error
The probability of an event can be approximated by simulating the random phenomenon a large number of times and computing the relative frequency of the event. After enough repetitions we expect the simulated relative frequency to be close to the true probability, but there probably won’t be an exact match. Therefore, in addition to reporting the approximate probability, we should also provide a margin of error which indicates how close we think our simulated relative frequency is to the true probability.
Section 1.2.1 introduced the relative frequency interpretation in the context of flipping a fair coin. After many flips of a fair coin, we expect the proportion of flips resulting in H to be close to 0.5. But how many flips is enough? And how “close” to 0.5? We’ll investigate these questions now.
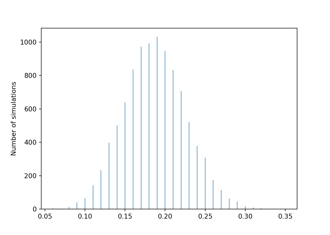
Consider Figure 3.12 below. Each dot represents a set of 10,000 fair coin flips. There are 100 dots displayed, representing 100 different sets of 10,000 coin flips each. For each set of flips, the proportion of the 10,000 flips which landed on head is recorded. For example, if in one set 4973 out of 10,000 flips landed on heads, the proportion of heads is 0.4973. The plot displays 100 such proportions; similar values have been “binned” together for plotting. We see that 98 of these 100 proportions are between 0.49 and 0.51, represented by the blue dots. So if “between 0.49 and 0.51” is considered “close to 0.5”, then yes, in 10000 coin flips we would expect21 the proportion of heads to be close to 0.5.
$data
phat ci_lb ci_ub good_ci
1 0.4973 0.4873 0.5073 TRUE
2 0.4999 0.4899 0.5099 TRUE
3 0.4996 0.4896 0.5096 TRUE
4 0.5000 0.4900 0.5100 TRUE
5 0.5044 0.4944 0.5144 TRUE
6 0.4970 0.4870 0.5070 TRUE
7 0.5001 0.4901 0.5101 TRUE
8 0.5083 0.4983 0.5183 TRUE
9 0.5087 0.4987 0.5187 TRUE
10 0.5002 0.4902 0.5102 TRUE
11 0.5029 0.4929 0.5129 TRUE
12 0.4984 0.4884 0.5084 TRUE
13 0.4938 0.4838 0.5038 TRUE
14 0.4974 0.4874 0.5074 TRUE
15 0.4997 0.4897 0.5097 TRUE
16 0.5061 0.4961 0.5161 TRUE
17 0.5040 0.4940 0.5140 TRUE
18 0.4936 0.4836 0.5036 TRUE
19 0.5088 0.4988 0.5188 TRUE
20 0.4912 0.4812 0.5012 TRUE
21 0.4942 0.4842 0.5042 TRUE
22 0.4960 0.4860 0.5060 TRUE
23 0.5044 0.4944 0.5144 TRUE
24 0.5060 0.4960 0.5160 TRUE
25 0.5013 0.4913 0.5113 TRUE
26 0.5001 0.4901 0.5101 TRUE
27 0.5010 0.4910 0.5110 TRUE
28 0.4974 0.4874 0.5074 TRUE
29 0.5020 0.4920 0.5120 TRUE
30 0.5013 0.4913 0.5113 TRUE
31 0.4996 0.4896 0.5096 TRUE
32 0.4975 0.4875 0.5075 TRUE
33 0.4975 0.4875 0.5075 TRUE
34 0.4974 0.4874 0.5074 TRUE
35 0.4991 0.4891 0.5091 TRUE
36 0.4995 0.4895 0.5095 TRUE
37 0.5055 0.4955 0.5155 TRUE
38 0.4947 0.4847 0.5047 TRUE
39 0.4996 0.4896 0.5096 TRUE
40 0.5028 0.4928 0.5128 TRUE
41 0.4913 0.4813 0.5013 TRUE
42 0.5021 0.4921 0.5121 TRUE
43 0.4972 0.4872 0.5072 TRUE
44 0.5060 0.4960 0.5160 TRUE
45 0.5029 0.4929 0.5129 TRUE
46 0.5007 0.4907 0.5107 TRUE
47 0.5067 0.4967 0.5167 TRUE
48 0.5060 0.4960 0.5160 TRUE
49 0.5020 0.4920 0.5120 TRUE
50 0.5005 0.4905 0.5105 TRUE
51 0.4986 0.4886 0.5086 TRUE
52 0.4986 0.4886 0.5086 TRUE
53 0.5057 0.4957 0.5157 TRUE
54 0.4922 0.4822 0.5022 TRUE
55 0.4993 0.4893 0.5093 TRUE
56 0.4970 0.4870 0.5070 TRUE
57 0.5005 0.4905 0.5105 TRUE
58 0.5045 0.4945 0.5145 TRUE
59 0.5014 0.4914 0.5114 TRUE
60 0.4984 0.4884 0.5084 TRUE
61 0.4933 0.4833 0.5033 TRUE
62 0.4946 0.4846 0.5046 TRUE
63 0.5033 0.4933 0.5133 TRUE
64 0.5032 0.4932 0.5132 TRUE
65 0.5022 0.4922 0.5122 TRUE
66 0.4911 0.4811 0.5011 TRUE
67 0.5061 0.4961 0.5161 TRUE
68 0.5045 0.4945 0.5145 TRUE
69 0.4936 0.4836 0.5036 TRUE
70 0.5026 0.4926 0.5126 TRUE
71 0.4911 0.4811 0.5011 TRUE
72 0.4912 0.4812 0.5012 TRUE
73 0.4924 0.4824 0.5024 TRUE
74 0.5051 0.4951 0.5151 TRUE
75 0.4984 0.4884 0.5084 TRUE
76 0.5003 0.4903 0.5103 TRUE
77 0.5067 0.4967 0.5167 TRUE
78 0.4929 0.4829 0.5029 TRUE
79 0.4955 0.4855 0.5055 TRUE
80 0.4930 0.4830 0.5030 TRUE
81 0.5020 0.4920 0.5120 TRUE
82 0.5054 0.4954 0.5154 TRUE
83 0.4970 0.4870 0.5070 TRUE
84 0.4955 0.4855 0.5055 TRUE
85 0.5072 0.4972 0.5172 TRUE
86 0.4990 0.4890 0.5090 TRUE
87 0.5001 0.4901 0.5101 TRUE
88 0.5076 0.4976 0.5176 TRUE
89 0.4894 0.4794 0.4994 FALSE
90 0.5004 0.4904 0.5104 TRUE
91 0.4918 0.4818 0.5018 TRUE
92 0.5005 0.4905 0.5105 TRUE
93 0.4986 0.4886 0.5086 TRUE
94 0.4977 0.4877 0.5077 TRUE
95 0.4987 0.4887 0.5087 TRUE
96 0.5015 0.4915 0.5115 TRUE
97 0.4968 0.4868 0.5068 TRUE
98 0.4985 0.4885 0.5085 TRUE
99 0.5098 0.4998 0.5198 TRUE
100 0.5105 0.5005 0.5205 FALSE
$layers
$layers[[1]]
geom_dotplot: binaxis = x, stackdir = up, stackratio = 1, dotsize = 1, stackgroups = FALSE, na.rm = FALSE
stat_bindot: binaxis = x, binwidth = NULL, binpositions = bygroup, method = dotdensity, origin = NULL, right = TRUE, width = 0.9, drop = FALSE, na.rm = FALSE
position_identity
$layers[[2]]
mapping: xintercept = ~xintercept
geom_vline: na.rm = FALSE
stat_identity: na.rm = FALSE
position_identity
$scales
<ggproto object: Class ScalesList, gg>
add: function
add_defaults: function
add_missing: function
backtransform_df: function
clone: function
find: function
get_scales: function
has_scale: function
input: function
map_df: function
n: function
non_position_scales: function
scales: list
set_palettes: function
train_df: function
transform_df: function
super: <ggproto object: Class ScalesList, gg>
$guides
<Guides[0] ggproto object>
<empty>
$mapping
$x
<quosure>
expr: ^phat
env: global
$colour
<quosure>
expr: ^good_ci
env: global
$fill
<quosure>
expr: ^good_ci
env: global
attr(,"class")
[1] "uneval"
$theme
$line
$colour
[1] "black"
$linewidth
[1] 0.5
$linetype
[1] 1
$lineend
[1] "butt"
$arrow
[1] FALSE
$inherit.blank
[1] TRUE
attr(,"class")
[1] "element_line" "element"
$rect
$fill
[1] "white"
$colour
[1] "black"
$linewidth
[1] 0.5
$linetype
[1] 1
$inherit.blank
[1] TRUE
attr(,"class")
[1] "element_rect" "element"
$text
$family
[1] ""
$face
[1] "plain"
$colour
[1] "black"
$size
[1] 11
$hjust
[1] 0.5
$vjust
[1] 0.5
$angle
[1] 0
$lineheight
[1] 0.9
$margin
[1] 0points 0points 0points 0points
$debug
[1] FALSE
$inherit.blank
[1] TRUE
attr(,"class")
[1] "element_text" "element"
$title
NULL
$aspect.ratio
NULL
$axis.title
NULL
$axis.title.x
$family
NULL
$face
NULL
$colour
NULL
$size
NULL
$hjust
NULL
$vjust
[1] 1
$angle
NULL
$lineheight
NULL
$margin
[1] 2.75points 0points 0points 0points
$debug
NULL
$inherit.blank
[1] TRUE
attr(,"class")
[1] "element_text" "element"
$axis.title.x.top
$family
NULL
$face
NULL
$colour
NULL
$size
NULL
$hjust
NULL
$vjust
[1] 0
$angle
NULL
$lineheight
NULL
$margin
[1] 0points 0points 2.75points 0points
$debug
NULL
$inherit.blank
[1] TRUE
attr(,"class")
[1] "element_text" "element"
$axis.title.x.bottom
NULL
$axis.title.y
$family
NULL
$face
NULL
$colour
NULL
$size
NULL
$hjust
NULL
$vjust
[1] 1
$angle
[1] 90
$lineheight
NULL
$margin
[1] 0points 2.75points 0points 0points
$debug
NULL
$inherit.blank
[1] TRUE
attr(,"class")
[1] "element_text" "element"
$axis.title.y.left
NULL
$axis.title.y.right
$family
NULL
$face
NULL
$colour
NULL
$size
NULL
$hjust
NULL
$vjust
[1] 1
$angle
[1] -90
$lineheight
NULL
$margin
[1] 0points 0points 0points 2.75points
$debug
NULL
$inherit.blank
[1] TRUE
attr(,"class")
[1] "element_text" "element"
$axis.text
$family
NULL
$face
NULL
$colour
[1] "grey30"
$size
[1] 0.8 *
$hjust
NULL
$vjust
NULL
$angle
NULL
$lineheight
NULL
$margin
NULL
$debug
NULL
$inherit.blank
[1] TRUE
attr(,"class")
[1] "element_text" "element"
$axis.text.x
$family
NULL
$face
NULL
$colour
NULL
$size
NULL
$hjust
NULL
$vjust
[1] 1
$angle
NULL
$lineheight
NULL
$margin
[1] 2.2points 0points 0points 0points
$debug
NULL
$inherit.blank
[1] TRUE
attr(,"class")
[1] "element_text" "element"
$axis.text.x.top
$family
NULL
$face
NULL
$colour
NULL
$size
NULL
$hjust
NULL
$vjust
[1] 0
$angle
NULL
$lineheight
NULL
$margin
[1] 0points 0points 2.2points 0points
$debug
NULL
$inherit.blank
[1] TRUE
attr(,"class")
[1] "element_text" "element"
$axis.text.x.bottom
NULL
$axis.text.y
$family
NULL
$face
NULL
$colour
NULL
$size
NULL
$hjust
[1] 1
$vjust
NULL
$angle
NULL
$lineheight
NULL
$margin
[1] 0points 2.2points 0points 0points
$debug
NULL
$inherit.blank
[1] TRUE
attr(,"class")
[1] "element_text" "element"
$axis.text.y.left
NULL
$axis.text.y.right
$family
NULL
$face
NULL
$colour
NULL
$size
NULL
$hjust
[1] 0
$vjust
NULL
$angle
NULL
$lineheight
NULL
$margin
[1] 0points 0points 0points 2.2points
$debug
NULL
$inherit.blank
[1] TRUE
attr(,"class")
[1] "element_text" "element"
$axis.text.theta
NULL
$axis.text.r
$family
NULL
$face
NULL
$colour
NULL
$size
NULL
$hjust
[1] 0.5
$vjust
NULL
$angle
NULL
$lineheight
NULL
$margin
[1] 0points 2.2points 0points 2.2points
$debug
NULL
$inherit.blank
[1] TRUE
attr(,"class")
[1] "element_text" "element"
$axis.ticks
$colour
[1] "grey20"
$linewidth
NULL
$linetype
NULL
$lineend
NULL
$arrow
[1] FALSE
$inherit.blank
[1] TRUE
attr(,"class")
[1] "element_line" "element"
$axis.ticks.x
NULL
$axis.ticks.x.top
NULL
$axis.ticks.x.bottom
NULL
$axis.ticks.y
NULL
$axis.ticks.y.left
NULL
$axis.ticks.y.right
NULL
$axis.ticks.theta
NULL
$axis.ticks.r
NULL
$axis.minor.ticks.x.top
NULL
$axis.minor.ticks.x.bottom
NULL
$axis.minor.ticks.y.left
NULL
$axis.minor.ticks.y.right
NULL
$axis.minor.ticks.theta
NULL
$axis.minor.ticks.r
NULL
$axis.ticks.length
[1] 2.75points
$axis.ticks.length.x
NULL
$axis.ticks.length.x.top
NULL
$axis.ticks.length.x.bottom
NULL
$axis.ticks.length.y
NULL
$axis.ticks.length.y.left
NULL
$axis.ticks.length.y.right
NULL
$axis.ticks.length.theta
NULL
$axis.ticks.length.r
NULL
$axis.minor.ticks.length
[1] 0.75 *
$axis.minor.ticks.length.x
NULL
$axis.minor.ticks.length.x.top
NULL
$axis.minor.ticks.length.x.bottom
NULL
$axis.minor.ticks.length.y
NULL
$axis.minor.ticks.length.y.left
NULL
$axis.minor.ticks.length.y.right
NULL
$axis.minor.ticks.length.theta
NULL
$axis.minor.ticks.length.r
NULL
$axis.line
$colour
[1] "black"
$linewidth
[1] 1 *
$linetype
NULL
$lineend
NULL
$arrow
[1] FALSE
$inherit.blank
[1] FALSE
attr(,"class")
[1] "element_line" "element"
$axis.line.x
NULL
$axis.line.x.top
NULL
$axis.line.x.bottom
NULL
$axis.line.y
NULL
$axis.line.y.left
NULL
$axis.line.y.right
NULL
$axis.line.theta
NULL
$axis.line.r
NULL
$legend.background
$fill
NULL
$colour
[1] NA
$linewidth
NULL
$linetype
NULL
$inherit.blank
[1] TRUE
attr(,"class")
[1] "element_rect" "element"
$legend.margin
[1] 5.5points 5.5points 5.5points 5.5points
$legend.spacing
[1] 11points
$legend.spacing.x
NULL
$legend.spacing.y
NULL
$legend.key
NULL
$legend.key.size
[1] 1.2lines
$legend.key.height
NULL
$legend.key.width
NULL
$legend.key.spacing
[1] 5.5points
$legend.key.spacing.x
NULL
$legend.key.spacing.y
NULL
$legend.frame
NULL
$legend.ticks
NULL
$legend.ticks.length
[1] 0.2 *
$legend.axis.line
NULL
$legend.text
$family
NULL
$face
NULL
$colour
NULL
$size
[1] 0.8 *
$hjust
NULL
$vjust
NULL
$angle
NULL
$lineheight
NULL
$margin
NULL
$debug
NULL
$inherit.blank
[1] TRUE
attr(,"class")
[1] "element_text" "element"
$legend.text.position
NULL
$legend.title
$family
NULL
$face
NULL
$colour
NULL
$size
NULL
$hjust
[1] 0
$vjust
NULL
$angle
NULL
$lineheight
NULL
$margin
NULL
$debug
NULL
$inherit.blank
[1] TRUE
attr(,"class")
[1] "element_text" "element"
$legend.title.position
NULL
$legend.position
[1] "none"
$legend.position.inside
NULL
$legend.direction
NULL
$legend.byrow
NULL
$legend.justification
[1] "center"
$legend.justification.top
NULL
$legend.justification.bottom
NULL
$legend.justification.left
NULL
$legend.justification.right
NULL
$legend.justification.inside
NULL
$legend.location
NULL
$legend.box
NULL
$legend.box.just
NULL
$legend.box.margin
[1] 0cm 0cm 0cm 0cm
$legend.box.background
list()
attr(,"class")
[1] "element_blank" "element"
$legend.box.spacing
[1] 11points
$panel.background
$fill
[1] "white"
$colour
[1] NA
$linewidth
NULL
$linetype
NULL
$inherit.blank
[1] TRUE
attr(,"class")
[1] "element_rect" "element"
$panel.border
list()
attr(,"class")
[1] "element_blank" "element"
$panel.spacing
[1] 5.5points
$panel.spacing.x
NULL
$panel.spacing.y
NULL
$panel.grid
$colour
[1] "grey92"
$linewidth
NULL
$linetype
NULL
$lineend
NULL
$arrow
[1] FALSE
$inherit.blank
[1] TRUE
attr(,"class")
[1] "element_line" "element"
$panel.grid.major
list()
attr(,"class")
[1] "element_blank" "element"
$panel.grid.minor
list()
attr(,"class")
[1] "element_blank" "element"
$panel.grid.major.x
NULL
$panel.grid.major.y
NULL
$panel.grid.minor.x
NULL
$panel.grid.minor.y
NULL
$panel.ontop
[1] FALSE
$plot.background
$fill
NULL
$colour
[1] "white"
$linewidth
NULL
$linetype
NULL
$inherit.blank
[1] TRUE
attr(,"class")
[1] "element_rect" "element"
$plot.title
$family
NULL
$face
NULL
$colour
NULL
$size
[1] 1.2 *
$hjust
[1] 0
$vjust
[1] 1
$angle
NULL
$lineheight
NULL
$margin
[1] 0points 0points 5.5points 0points
$debug
NULL
$inherit.blank
[1] TRUE
attr(,"class")
[1] "element_text" "element"
$plot.title.position
[1] "panel"
$plot.subtitle
$family
NULL
$face
NULL
$colour
NULL
$size
NULL
$hjust
[1] 0
$vjust
[1] 1
$angle
NULL
$lineheight
NULL
$margin
[1] 0points 0points 5.5points 0points
$debug
NULL
$inherit.blank
[1] TRUE
attr(,"class")
[1] "element_text" "element"
$plot.caption
$family
NULL
$face
NULL
$colour
NULL
$size
[1] 0.8 *
$hjust
[1] 1
$vjust
[1] 1
$angle
NULL
$lineheight
NULL
$margin
[1] 5.5points 0points 0points 0points
$debug
NULL
$inherit.blank
[1] TRUE
attr(,"class")
[1] "element_text" "element"
$plot.caption.position
[1] "panel"
$plot.tag
$family
NULL
$face
NULL
$colour
NULL
$size
[1] 1.2 *
$hjust
[1] 0.5
$vjust
[1] 0.5
$angle
NULL
$lineheight
NULL
$margin
NULL
$debug
NULL
$inherit.blank
[1] TRUE
attr(,"class")
[1] "element_text" "element"
$plot.tag.position
[1] "topleft"
$plot.tag.location
NULL
$plot.margin
[1] 5.5points 5.5points 5.5points 5.5points
$strip.background
$fill
[1] "white"
$colour
[1] "black"
$linewidth
[1] 2 *
$linetype
NULL
$inherit.blank
[1] TRUE
attr(,"class")
[1] "element_rect" "element"
$strip.background.x
NULL
$strip.background.y
NULL
$strip.clip
[1] "inherit"
$strip.placement
[1] "inside"
$strip.text
$family
NULL
$face
NULL
$colour
[1] "grey10"
$size
[1] 0.8 *
$hjust
NULL
$vjust
NULL
$angle
NULL
$lineheight
NULL
$margin
[1] 4.4points 4.4points 4.4points 4.4points
$debug
NULL
$inherit.blank
[1] TRUE
attr(,"class")
[1] "element_text" "element"
$strip.text.x
NULL
$strip.text.x.bottom
NULL
$strip.text.x.top
NULL
$strip.text.y
$family
NULL
$face
NULL
$colour
NULL
$size
NULL
$hjust
NULL
$vjust
NULL
$angle
[1] -90
$lineheight
NULL
$margin
NULL
$debug
NULL
$inherit.blank
[1] TRUE
attr(,"class")
[1] "element_text" "element"
$strip.text.y.left
$family
NULL
$face
NULL
$colour
NULL
$size
NULL
$hjust
NULL
$vjust
NULL
$angle
[1] 90
$lineheight
NULL
$margin
NULL
$debug
NULL
$inherit.blank
[1] TRUE
attr(,"class")
[1] "element_text" "element"
$strip.text.y.right
NULL
$strip.switch.pad.grid
[1] 2.75points
$strip.switch.pad.wrap
[1] 2.75points
attr(,"class")
[1] "theme" "gg"
attr(,"complete")
[1] TRUE
attr(,"validate")
[1] TRUE
$coordinates
<ggproto object: Class CoordCartesian, Coord, gg>
aspect: function
backtransform_range: function
clip: on
default: TRUE
distance: function
draw_panel: function
expand: TRUE
is_free: function
is_linear: function
labels: function
limits: list
modify_scales: function
range: function
render_axis_h: function
render_axis_v: function
render_bg: function
render_fg: function
reverse: none
setup_data: function
setup_layout: function
setup_panel_guides: function
setup_panel_params: function
setup_params: function
train_panel_guides: function
transform: function
super: <ggproto object: Class CoordCartesian, Coord, gg>
$facet
<ggproto object: Class FacetNull, Facet, gg>
attach_axes: function
attach_strips: function
compute_layout: function
draw_back: function
draw_front: function
draw_labels: function
draw_panel_content: function
draw_panels: function
finish_data: function
format_strip_labels: function
init_gtable: function
init_scales: function
map_data: function
params: list
set_panel_size: function
setup_data: function
setup_panel_params: function
setup_params: function
shrink: TRUE
train_scales: function
vars: function
super: <ggproto object: Class FacetNull, Facet, gg>
$plot_env
<environment: R_GlobalEnv>
$layout
<ggproto object: Class Layout, gg>
coord: NULL
coord_params: list
facet: NULL
facet_params: list
finish_data: function
get_scales: function
layout: NULL
map_position: function
panel_params: NULL
panel_scales_x: NULL
panel_scales_y: NULL
render: function
render_labels: function
reset_scales: function
resolve_label: function
setup: function
setup_panel_guides: function
setup_panel_params: function
train_position: function
super: <ggproto object: Class Layout, gg>
$labels
$labels$x
[1] "Proportion of heads"
$labels$colour
[1] "good_ci"
$labels$fill
[1] "good_ci"
$labels$xintercept
[1] "xintercept"
$labels$y
[1] "count"
attr(,"fallback")
[1] TRUE
attr(,"class")
[1] "gg" "ggplot"
Our discussion of Figure 3.12 suggests that 0.01 might be an appropriate margin of error for a simulation based on 10,000 flips. Suppose we perform a simulation of 10000 flips with 4973 landing on heads. We could say “we estimate that the probability that a coin land on heads is equal to 0.4973”. But such a precise estimate would almost certainly be incorrect, due to natural variability in the simulation. In fact, only 1 sets22 resulted in a proportion of heads exactly equal to the true probability of 0.5.
A better statement would be “we estimate that the probability that a coin land on heads is 0.4973 with a margin of error23 of 0.01”. This means that we estimate that the true probability of heads is within 0.01 of 0.4973. In other words, we estimate that the true probability of heads is between 0.4873 and 0.5073, an interval whose endpoints are \(0.4973 \pm 0.01\). This interval estimate is “accurate” in the sense that the true probability of heads, 0.5, is between 0.4873 and 0.5073. By providing a margin of error, we have sacrificed a little precision—“equal to 0.4973” versus “within 0.01 of 0.4973”—to achieve greater accuracy.
Let’s explore this idea of “accuracy” further. Recall that Figure 3.12 displays the proportion of flips which landed on heads for 100 sets of 10000 flips each. Suppose that for each of these sets we form an interval estimate of the probability that the coin lands on heads by adding/subtracting 0.01 from the simulated proportion, as we did for \(0.4973 \pm 0.01\) in the previous paragraph. Figure 3.13 displays the results. Even though the proportion of heads was equal to 0.5 in only 1 sets, in 98 of these 100 sets (the blue intervals) the corresponding interval contains 0.5, the true probability of heads. For almost all of the sets, the interval formed via “relative frequency \(\pm\) margin of error” provides an accurate estimate of the true probability. However, not all the intervals contain the true probability, which is why we often qualify that our margin of error is for “95% confidence” or “95% accuracy”. We will see more about “confidence” soon. In any case, the discussion so far, and the results in Figure 3.12 and Figure 3.13, suggest that 0.01 is a reasonable choice for margin of error when estimating the probability that a coin lands on heads based on 10000 flips.

What if we want to be stricter about what qualifies as “close to 0.5”? That is, what if a margin of error of 0.01 isn’t good enough? You might suspect that with even more flips we would expect to observe heads on even closer to 50% of flips. Indeed, this is the case. Figure 3.14 displays the results of 100 sets of 1,000,000 fair coin flips. The pattern seems similar to Figure 3.12 but pay close attention to the horizontal axis which covers a much shorter range of values than in the previous figure. Now 91 of the 100 proportions are between 0.499 and 0.501. So in 1,000,000 flips we would expect24 the proportion of heads to be between 0.499 and 0.501, pretty close to 0.5. This suggests that 0.001 might be an appropriate margin of error for a simulation based on 1,000,000 flips.
$data
phat ci_lb ci_ub good_ci
1 0.499578 0.498578 0.500578 TRUE
2 0.500484 0.499484 0.501484 TRUE
3 0.500358 0.499358 0.501358 TRUE
4 0.499911 0.498911 0.500911 TRUE
5 0.498794 0.497794 0.499794 FALSE
6 0.500325 0.499325 0.501325 TRUE
7 0.499705 0.498705 0.500705 TRUE
8 0.499718 0.498718 0.500718 TRUE
9 0.499673 0.498673 0.500673 TRUE
10 0.500370 0.499370 0.501370 TRUE
11 0.499648 0.498648 0.500648 TRUE
12 0.500131 0.499131 0.501131 TRUE
13 0.498816 0.497816 0.499816 FALSE
14 0.500184 0.499184 0.501184 TRUE
15 0.499639 0.498639 0.500639 TRUE
16 0.499542 0.498542 0.500542 TRUE
17 0.499999 0.498999 0.500999 TRUE
18 0.501058 0.500058 0.502058 FALSE
19 0.500083 0.499083 0.501083 TRUE
20 0.500359 0.499359 0.501359 TRUE
21 0.500326 0.499326 0.501326 TRUE
22 0.500136 0.499136 0.501136 TRUE
23 0.499338 0.498338 0.500338 TRUE
24 0.500533 0.499533 0.501533 TRUE
25 0.501039 0.500039 0.502039 FALSE
26 0.500829 0.499829 0.501829 TRUE
27 0.500116 0.499116 0.501116 TRUE
28 0.499673 0.498673 0.500673 TRUE
29 0.499785 0.498785 0.500785 TRUE
30 0.500831 0.499831 0.501831 TRUE
31 0.499648 0.498648 0.500648 TRUE
32 0.500559 0.499559 0.501559 TRUE
33 0.499487 0.498487 0.500487 TRUE
34 0.499637 0.498637 0.500637 TRUE
35 0.499599 0.498599 0.500599 TRUE
36 0.499576 0.498576 0.500576 TRUE
37 0.500547 0.499547 0.501547 TRUE
38 0.501046 0.500046 0.502046 FALSE
39 0.500855 0.499855 0.501855 TRUE
40 0.499686 0.498686 0.500686 TRUE
41 0.500031 0.499031 0.501031 TRUE
42 0.500230 0.499230 0.501230 TRUE
43 0.500837 0.499837 0.501837 TRUE
44 0.500111 0.499111 0.501111 TRUE
45 0.500301 0.499301 0.501301 TRUE
46 0.499950 0.498950 0.500950 TRUE
47 0.499197 0.498197 0.500197 TRUE
48 0.500184 0.499184 0.501184 TRUE
49 0.499879 0.498879 0.500879 TRUE
50 0.500466 0.499466 0.501466 TRUE
51 0.499332 0.498332 0.500332 TRUE
52 0.501171 0.500171 0.502171 FALSE
53 0.499951 0.498951 0.500951 TRUE
54 0.500557 0.499557 0.501557 TRUE
55 0.499955 0.498955 0.500955 TRUE
56 0.499834 0.498834 0.500834 TRUE
57 0.499746 0.498746 0.500746 TRUE
58 0.499565 0.498565 0.500565 TRUE
59 0.500520 0.499520 0.501520 TRUE
60 0.500602 0.499602 0.501602 TRUE
61 0.499545 0.498545 0.500545 TRUE
62 0.500142 0.499142 0.501142 TRUE
63 0.500307 0.499307 0.501307 TRUE
64 0.500380 0.499380 0.501380 TRUE
65 0.499508 0.498508 0.500508 TRUE
66 0.500899 0.499899 0.501899 TRUE
67 0.500220 0.499220 0.501220 TRUE
68 0.498696 0.497696 0.499696 FALSE
69 0.499657 0.498657 0.500657 TRUE
70 0.499487 0.498487 0.500487 TRUE
71 0.499390 0.498390 0.500390 TRUE
72 0.500298 0.499298 0.501298 TRUE
73 0.498958 0.497958 0.499958 FALSE
74 0.499516 0.498516 0.500516 TRUE
75 0.499716 0.498716 0.500716 TRUE
76 0.500268 0.499268 0.501268 TRUE
77 0.499379 0.498379 0.500379 TRUE
78 0.500439 0.499439 0.501439 TRUE
79 0.498707 0.497707 0.499707 FALSE
80 0.500206 0.499206 0.501206 TRUE
81 0.500251 0.499251 0.501251 TRUE
82 0.499538 0.498538 0.500538 TRUE
83 0.500482 0.499482 0.501482 TRUE
84 0.499205 0.498205 0.500205 TRUE
85 0.500057 0.499057 0.501057 TRUE
86 0.499169 0.498169 0.500169 TRUE
87 0.500383 0.499383 0.501383 TRUE
88 0.500239 0.499239 0.501239 TRUE
89 0.499902 0.498902 0.500902 TRUE
90 0.500922 0.499922 0.501922 TRUE
91 0.499574 0.498574 0.500574 TRUE
92 0.500534 0.499534 0.501534 TRUE
93 0.500307 0.499307 0.501307 TRUE
94 0.499403 0.498403 0.500403 TRUE
95 0.499696 0.498696 0.500696 TRUE
96 0.499937 0.498937 0.500937 TRUE
97 0.500142 0.499142 0.501142 TRUE
98 0.499841 0.498841 0.500841 TRUE
99 0.500374 0.499374 0.501374 TRUE
100 0.500431 0.499431 0.501431 TRUE
$layers
$layers[[1]]
geom_dotplot: binaxis = x, stackdir = up, stackratio = 1, dotsize = 1, stackgroups = FALSE, na.rm = FALSE
stat_bindot: binaxis = x, binwidth = NULL, binpositions = bygroup, method = dotdensity, origin = NULL, right = TRUE, width = 0.9, drop = FALSE, na.rm = FALSE
position_identity
$layers[[2]]
mapping: xintercept = ~xintercept
geom_vline: na.rm = FALSE
stat_identity: na.rm = FALSE
position_identity
$scales
<ggproto object: Class ScalesList, gg>
add: function
add_defaults: function
add_missing: function
backtransform_df: function
clone: function
find: function
get_scales: function
has_scale: function
input: function
map_df: function
n: function
non_position_scales: function
scales: list
set_palettes: function
train_df: function
transform_df: function
super: <ggproto object: Class ScalesList, gg>
$guides
<Guides[0] ggproto object>
<empty>
$mapping
$x
<quosure>
expr: ^phat
env: global
$colour
<quosure>
expr: ^good_ci
env: global
$fill
<quosure>
expr: ^good_ci
env: global
attr(,"class")
[1] "uneval"
$theme
$line
$colour
[1] "black"
$linewidth
[1] 0.5
$linetype
[1] 1
$lineend
[1] "butt"
$arrow
[1] FALSE
$inherit.blank
[1] TRUE
attr(,"class")
[1] "element_line" "element"
$rect
$fill
[1] "white"
$colour
[1] "black"
$linewidth
[1] 0.5
$linetype
[1] 1
$inherit.blank
[1] TRUE
attr(,"class")
[1] "element_rect" "element"
$text
$family
[1] ""
$face
[1] "plain"
$colour
[1] "black"
$size
[1] 11
$hjust
[1] 0.5
$vjust
[1] 0.5
$angle
[1] 0
$lineheight
[1] 0.9
$margin
[1] 0points 0points 0points 0points
$debug
[1] FALSE
$inherit.blank
[1] TRUE
attr(,"class")
[1] "element_text" "element"
$title
NULL
$aspect.ratio
NULL
$axis.title
NULL
$axis.title.x
$family
NULL
$face
NULL
$colour
NULL
$size
NULL
$hjust
NULL
$vjust
[1] 1
$angle
NULL
$lineheight
NULL
$margin
[1] 2.75points 0points 0points 0points
$debug
NULL
$inherit.blank
[1] TRUE
attr(,"class")
[1] "element_text" "element"
$axis.title.x.top
$family
NULL
$face
NULL
$colour
NULL
$size
NULL
$hjust
NULL
$vjust
[1] 0
$angle
NULL
$lineheight
NULL
$margin
[1] 0points 0points 2.75points 0points
$debug
NULL
$inherit.blank
[1] TRUE
attr(,"class")
[1] "element_text" "element"
$axis.title.x.bottom
NULL
$axis.title.y
$family
NULL
$face
NULL
$colour
NULL
$size
NULL
$hjust
NULL
$vjust
[1] 1
$angle
[1] 90
$lineheight
NULL
$margin
[1] 0points 2.75points 0points 0points
$debug
NULL
$inherit.blank
[1] TRUE
attr(,"class")
[1] "element_text" "element"
$axis.title.y.left
NULL
$axis.title.y.right
$family
NULL
$face
NULL
$colour
NULL
$size
NULL
$hjust
NULL
$vjust
[1] 1
$angle
[1] -90
$lineheight
NULL
$margin
[1] 0points 0points 0points 2.75points
$debug
NULL
$inherit.blank
[1] TRUE
attr(,"class")
[1] "element_text" "element"
$axis.text
$family
NULL
$face
NULL
$colour
[1] "grey30"
$size
[1] 0.8 *
$hjust
NULL
$vjust
NULL
$angle
NULL
$lineheight
NULL
$margin
NULL
$debug
NULL
$inherit.blank
[1] TRUE
attr(,"class")
[1] "element_text" "element"
$axis.text.x
$family
NULL
$face
NULL
$colour
NULL
$size
NULL
$hjust
NULL
$vjust
[1] 1
$angle
NULL
$lineheight
NULL
$margin
[1] 2.2points 0points 0points 0points
$debug
NULL
$inherit.blank
[1] TRUE
attr(,"class")
[1] "element_text" "element"
$axis.text.x.top
$family
NULL
$face
NULL
$colour
NULL
$size
NULL
$hjust
NULL
$vjust
[1] 0
$angle
NULL
$lineheight
NULL
$margin
[1] 0points 0points 2.2points 0points
$debug
NULL
$inherit.blank
[1] TRUE
attr(,"class")
[1] "element_text" "element"
$axis.text.x.bottom
NULL
$axis.text.y
$family
NULL
$face
NULL
$colour
NULL
$size
NULL
$hjust
[1] 1
$vjust
NULL
$angle
NULL
$lineheight
NULL
$margin
[1] 0points 2.2points 0points 0points
$debug
NULL
$inherit.blank
[1] TRUE
attr(,"class")
[1] "element_text" "element"
$axis.text.y.left
NULL
$axis.text.y.right
$family
NULL
$face
NULL
$colour
NULL
$size
NULL
$hjust
[1] 0
$vjust
NULL
$angle
NULL
$lineheight
NULL
$margin
[1] 0points 0points 0points 2.2points
$debug
NULL
$inherit.blank
[1] TRUE
attr(,"class")
[1] "element_text" "element"
$axis.text.theta
NULL
$axis.text.r
$family
NULL
$face
NULL
$colour
NULL
$size
NULL
$hjust
[1] 0.5
$vjust
NULL
$angle
NULL
$lineheight
NULL
$margin
[1] 0points 2.2points 0points 2.2points
$debug
NULL
$inherit.blank
[1] TRUE
attr(,"class")
[1] "element_text" "element"
$axis.ticks
$colour
[1] "grey20"
$linewidth
NULL
$linetype
NULL
$lineend
NULL
$arrow
[1] FALSE
$inherit.blank
[1] TRUE
attr(,"class")
[1] "element_line" "element"
$axis.ticks.x
NULL
$axis.ticks.x.top
NULL
$axis.ticks.x.bottom
NULL
$axis.ticks.y
NULL
$axis.ticks.y.left
NULL
$axis.ticks.y.right
NULL
$axis.ticks.theta
NULL
$axis.ticks.r
NULL
$axis.minor.ticks.x.top
NULL
$axis.minor.ticks.x.bottom
NULL
$axis.minor.ticks.y.left
NULL
$axis.minor.ticks.y.right
NULL
$axis.minor.ticks.theta
NULL
$axis.minor.ticks.r
NULL
$axis.ticks.length
[1] 2.75points
$axis.ticks.length.x
NULL
$axis.ticks.length.x.top
NULL
$axis.ticks.length.x.bottom
NULL
$axis.ticks.length.y
NULL
$axis.ticks.length.y.left
NULL
$axis.ticks.length.y.right
NULL
$axis.ticks.length.theta
NULL
$axis.ticks.length.r
NULL
$axis.minor.ticks.length
[1] 0.75 *
$axis.minor.ticks.length.x
NULL
$axis.minor.ticks.length.x.top
NULL
$axis.minor.ticks.length.x.bottom
NULL
$axis.minor.ticks.length.y
NULL
$axis.minor.ticks.length.y.left
NULL
$axis.minor.ticks.length.y.right
NULL
$axis.minor.ticks.length.theta
NULL
$axis.minor.ticks.length.r
NULL
$axis.line
$colour
[1] "black"
$linewidth
[1] 1 *
$linetype
NULL
$lineend
NULL
$arrow
[1] FALSE
$inherit.blank
[1] FALSE
attr(,"class")
[1] "element_line" "element"
$axis.line.x
NULL
$axis.line.x.top
NULL
$axis.line.x.bottom
NULL
$axis.line.y
NULL
$axis.line.y.left
NULL
$axis.line.y.right
NULL
$axis.line.theta
NULL
$axis.line.r
NULL
$legend.background
$fill
NULL
$colour
[1] NA
$linewidth
NULL
$linetype
NULL
$inherit.blank
[1] TRUE
attr(,"class")
[1] "element_rect" "element"
$legend.margin
[1] 5.5points 5.5points 5.5points 5.5points
$legend.spacing
[1] 11points
$legend.spacing.x
NULL
$legend.spacing.y
NULL
$legend.key
NULL
$legend.key.size
[1] 1.2lines
$legend.key.height
NULL
$legend.key.width
NULL
$legend.key.spacing
[1] 5.5points
$legend.key.spacing.x
NULL
$legend.key.spacing.y
NULL
$legend.frame
NULL
$legend.ticks
NULL
$legend.ticks.length
[1] 0.2 *
$legend.axis.line
NULL
$legend.text
$family
NULL
$face
NULL
$colour
NULL
$size
[1] 0.8 *
$hjust
NULL
$vjust
NULL
$angle
NULL
$lineheight
NULL
$margin
NULL
$debug
NULL
$inherit.blank
[1] TRUE
attr(,"class")
[1] "element_text" "element"
$legend.text.position
NULL
$legend.title
$family
NULL
$face
NULL
$colour
NULL
$size
NULL
$hjust
[1] 0
$vjust
NULL
$angle
NULL
$lineheight
NULL
$margin
NULL
$debug
NULL
$inherit.blank
[1] TRUE
attr(,"class")
[1] "element_text" "element"
$legend.title.position
NULL
$legend.position
[1] "none"
$legend.position.inside
NULL
$legend.direction
NULL
$legend.byrow
NULL
$legend.justification
[1] "center"
$legend.justification.top
NULL
$legend.justification.bottom
NULL
$legend.justification.left
NULL
$legend.justification.right
NULL
$legend.justification.inside
NULL
$legend.location
NULL
$legend.box
NULL
$legend.box.just
NULL
$legend.box.margin
[1] 0cm 0cm 0cm 0cm
$legend.box.background
list()
attr(,"class")
[1] "element_blank" "element"
$legend.box.spacing
[1] 11points
$panel.background
$fill
[1] "white"
$colour
[1] NA
$linewidth
NULL
$linetype
NULL
$inherit.blank
[1] TRUE
attr(,"class")
[1] "element_rect" "element"
$panel.border
list()
attr(,"class")
[1] "element_blank" "element"
$panel.spacing
[1] 5.5points
$panel.spacing.x
NULL
$panel.spacing.y
NULL
$panel.grid
$colour
[1] "grey92"
$linewidth
NULL
$linetype
NULL
$lineend
NULL
$arrow
[1] FALSE
$inherit.blank
[1] TRUE
attr(,"class")
[1] "element_line" "element"
$panel.grid.major
list()
attr(,"class")
[1] "element_blank" "element"
$panel.grid.minor
list()
attr(,"class")
[1] "element_blank" "element"
$panel.grid.major.x
NULL
$panel.grid.major.y
NULL
$panel.grid.minor.x
NULL
$panel.grid.minor.y
NULL
$panel.ontop
[1] FALSE
$plot.background
$fill
NULL
$colour
[1] "white"
$linewidth
NULL
$linetype
NULL
$inherit.blank
[1] TRUE
attr(,"class")
[1] "element_rect" "element"
$plot.title
$family
NULL
$face
NULL
$colour
NULL
$size
[1] 1.2 *
$hjust
[1] 0
$vjust
[1] 1
$angle
NULL
$lineheight
NULL
$margin
[1] 0points 0points 5.5points 0points
$debug
NULL
$inherit.blank
[1] TRUE
attr(,"class")
[1] "element_text" "element"
$plot.title.position
[1] "panel"
$plot.subtitle
$family
NULL
$face
NULL
$colour
NULL
$size
NULL
$hjust
[1] 0
$vjust
[1] 1
$angle
NULL
$lineheight
NULL
$margin
[1] 0points 0points 5.5points 0points
$debug
NULL
$inherit.blank
[1] TRUE
attr(,"class")
[1] "element_text" "element"
$plot.caption
$family
NULL
$face
NULL
$colour
NULL
$size
[1] 0.8 *
$hjust
[1] 1
$vjust
[1] 1
$angle
NULL
$lineheight
NULL
$margin
[1] 5.5points 0points 0points 0points
$debug
NULL
$inherit.blank
[1] TRUE
attr(,"class")
[1] "element_text" "element"
$plot.caption.position
[1] "panel"
$plot.tag
$family
NULL
$face
NULL
$colour
NULL
$size
[1] 1.2 *
$hjust
[1] 0.5
$vjust
[1] 0.5
$angle
NULL
$lineheight
NULL
$margin
NULL
$debug
NULL
$inherit.blank
[1] TRUE
attr(,"class")
[1] "element_text" "element"
$plot.tag.position
[1] "topleft"
$plot.tag.location
NULL
$plot.margin
[1] 5.5points 5.5points 5.5points 5.5points
$strip.background
$fill
[1] "white"
$colour
[1] "black"
$linewidth
[1] 2 *
$linetype
NULL
$inherit.blank
[1] TRUE
attr(,"class")
[1] "element_rect" "element"
$strip.background.x
NULL
$strip.background.y
NULL
$strip.clip
[1] "inherit"
$strip.placement
[1] "inside"
$strip.text
$family
NULL
$face
NULL
$colour
[1] "grey10"
$size
[1] 0.8 *
$hjust
NULL
$vjust
NULL
$angle
NULL
$lineheight
NULL
$margin
[1] 4.4points 4.4points 4.4points 4.4points
$debug
NULL
$inherit.blank
[1] TRUE
attr(,"class")
[1] "element_text" "element"
$strip.text.x
NULL
$strip.text.x.bottom
NULL
$strip.text.x.top
NULL
$strip.text.y
$family
NULL
$face
NULL
$colour
NULL
$size
NULL
$hjust
NULL
$vjust
NULL
$angle
[1] -90
$lineheight
NULL
$margin
NULL
$debug
NULL
$inherit.blank
[1] TRUE
attr(,"class")
[1] "element_text" "element"
$strip.text.y.left
$family
NULL
$face
NULL
$colour
NULL
$size
NULL
$hjust
NULL
$vjust
NULL
$angle
[1] 90
$lineheight
NULL
$margin
NULL
$debug
NULL
$inherit.blank
[1] TRUE
attr(,"class")
[1] "element_text" "element"
$strip.text.y.right
NULL
$strip.switch.pad.grid
[1] 2.75points
$strip.switch.pad.wrap
[1] 2.75points
attr(,"class")
[1] "theme" "gg"
attr(,"complete")
[1] TRUE
attr(,"validate")
[1] TRUE
$coordinates
<ggproto object: Class CoordCartesian, Coord, gg>
aspect: function
backtransform_range: function
clip: on
default: TRUE
distance: function
draw_panel: function
expand: TRUE
is_free: function
is_linear: function
labels: function
limits: list
modify_scales: function
range: function
render_axis_h: function
render_axis_v: function
render_bg: function
render_fg: function
reverse: none
setup_data: function
setup_layout: function
setup_panel_guides: function
setup_panel_params: function
setup_params: function
train_panel_guides: function
transform: function
super: <ggproto object: Class CoordCartesian, Coord, gg>
$facet
<ggproto object: Class FacetNull, Facet, gg>
attach_axes: function
attach_strips: function
compute_layout: function
draw_back: function
draw_front: function
draw_labels: function
draw_panel_content: function
draw_panels: function
finish_data: function
format_strip_labels: function
init_gtable: function
init_scales: function
map_data: function
params: list
set_panel_size: function
setup_data: function
setup_panel_params: function
setup_params: function
shrink: TRUE
train_scales: function
vars: function
super: <ggproto object: Class FacetNull, Facet, gg>
$plot_env
<environment: R_GlobalEnv>
$layout
<ggproto object: Class Layout, gg>
coord: NULL
coord_params: list
facet: NULL
facet_params: list
finish_data: function
get_scales: function
layout: NULL
map_position: function
panel_params: NULL
panel_scales_x: NULL
panel_scales_y: NULL
render: function
render_labels: function
reset_scales: function
resolve_label: function
setup: function
setup_panel_guides: function
setup_panel_params: function
train_position: function
super: <ggproto object: Class Layout, gg>
$labels
$labels$x
[1] "Proportion of heads"
$labels$colour
[1] "good_ci"
$labels$fill
[1] "good_ci"
$labels$xintercept
[1] "xintercept"
$labels$y
[1] "count"
attr(,"fallback")
[1] TRUE
attr(,"class")
[1] "gg" "ggplot"
What about even more flips? In Figure 3.15 each dot represents a set of 100 million flips. The pattern seems similar to the previous figures, but again pay close attention the horizontal access which covers a smaller range of values. Now 96 of the 100 proportions are between 0.4999 and 0.5001. So in 100 million flips we would expect25 the proportion of heads to be between 0.4999 and 0.5001, pretty close to 0.5. This suggests that 0.0001 might be an appropriate margin of error for a simulation based on 100,000,000 flips.
$data
phat ci_lb ci_ub good_ci
1 0.4998728 0.4997728 0.4999728 FALSE
2 0.5000130 0.4999130 0.5001130 TRUE
3 0.4999596 0.4998596 0.5000596 TRUE
4 0.4999866 0.4998866 0.5000866 TRUE
5 0.4999105 0.4998105 0.5000105 TRUE
6 0.5001188 0.5000188 0.5002188 FALSE
7 0.5000472 0.4999472 0.5001472 TRUE
8 0.4999685 0.4998685 0.5000684 TRUE
9 0.5000474 0.4999474 0.5001474 TRUE
10 0.5000669 0.4999669 0.5001669 TRUE
11 0.5000429 0.4999429 0.5001429 TRUE
12 0.5000835 0.4999835 0.5001835 TRUE
13 0.4999957 0.4998957 0.5000957 TRUE
14 0.4999895 0.4998895 0.5000895 TRUE
15 0.5000435 0.4999435 0.5001435 TRUE
16 0.4999639 0.4998639 0.5000639 TRUE
17 0.5000452 0.4999453 0.5001452 TRUE
18 0.4999428 0.4998428 0.5000428 TRUE
19 0.4999864 0.4998864 0.5000864 TRUE
20 0.4999838 0.4998838 0.5000838 TRUE
21 0.5000629 0.4999629 0.5001629 TRUE
22 0.5000759 0.4999759 0.5001759 TRUE
23 0.4999714 0.4998714 0.5000714 TRUE
24 0.4999737 0.4998737 0.5000737 TRUE
25 0.5000117 0.4999117 0.5001117 TRUE
26 0.4999804 0.4998804 0.5000804 TRUE
27 0.5000170 0.4999170 0.5001170 TRUE
28 0.5000924 0.4999924 0.5001924 TRUE
29 0.5000129 0.4999129 0.5001129 TRUE
30 0.5000353 0.4999353 0.5001353 TRUE
31 0.5000033 0.4999033 0.5001033 TRUE
32 0.4999509 0.4998509 0.5000509 TRUE
33 0.5000143 0.4999143 0.5001143 TRUE
34 0.5000213 0.4999213 0.5001213 TRUE
35 0.4999975 0.4998975 0.5000975 TRUE
36 0.5000781 0.4999781 0.5001781 TRUE
37 0.5000092 0.4999092 0.5001092 TRUE
38 0.5000498 0.4999498 0.5001498 TRUE
39 0.5000333 0.4999333 0.5001333 TRUE
40 0.5000286 0.4999286 0.5001286 TRUE
41 0.4999952 0.4998952 0.5000952 TRUE
42 0.5000060 0.4999060 0.5001060 TRUE
43 0.4999683 0.4998683 0.5000683 TRUE
44 0.4999649 0.4998649 0.5000649 TRUE
45 0.4999021 0.4998021 0.5000021 TRUE
46 0.5000144 0.4999144 0.5001144 TRUE
47 0.5000737 0.4999737 0.5001737 TRUE
48 0.4999967 0.4998968 0.5000967 TRUE
49 0.5000158 0.4999158 0.5001158 TRUE
50 0.5000015 0.4999015 0.5001015 TRUE
51 0.5000495 0.4999495 0.5001495 TRUE
52 0.5000256 0.4999256 0.5001256 TRUE
53 0.4999712 0.4998712 0.5000712 TRUE
54 0.5000397 0.4999397 0.5001397 TRUE
55 0.5000764 0.4999764 0.5001764 TRUE
56 0.4999523 0.4998523 0.5000523 TRUE
57 0.4999804 0.4998804 0.5000804 TRUE
58 0.4999918 0.4998918 0.5000918 TRUE
59 0.4999884 0.4998884 0.5000884 TRUE
60 0.4999988 0.4998989 0.5000988 TRUE
61 0.4999230 0.4998230 0.5000230 TRUE
62 0.4999605 0.4998605 0.5000605 TRUE
63 0.4999614 0.4998614 0.5000614 TRUE
64 0.5000053 0.4999053 0.5001053 TRUE
65 0.5000153 0.4999153 0.5001153 TRUE
66 0.5000297 0.4999297 0.5001297 TRUE
67 0.4999384 0.4998384 0.5000384 TRUE
68 0.5000174 0.4999174 0.5001174 TRUE
69 0.5000114 0.4999114 0.5001114 TRUE
70 0.4999207 0.4998207 0.5000207 TRUE
71 0.4998804 0.4997804 0.4999804 FALSE
72 0.4999672 0.4998672 0.5000672 TRUE
73 0.4999991 0.4998991 0.5000991 TRUE
74 0.5000081 0.4999081 0.5001081 TRUE
75 0.4999380 0.4998380 0.5000380 TRUE
76 0.5000168 0.4999168 0.5001168 TRUE
77 0.5000849 0.4999849 0.5001849 TRUE
78 0.5000107 0.4999107 0.5001107 TRUE
79 0.5000111 0.4999111 0.5001111 TRUE
80 0.4999935 0.4998935 0.5000935 TRUE
81 0.5000085 0.4999085 0.5001085 TRUE
82 0.4999536 0.4998536 0.5000536 TRUE
83 0.5000203 0.4999203 0.5001203 TRUE
84 0.4999565 0.4998565 0.5000565 TRUE
85 0.4999895 0.4998895 0.5000895 TRUE
86 0.5001008 0.5000008 0.5002008 FALSE
87 0.4999814 0.4998814 0.5000814 TRUE
88 0.4999659 0.4998659 0.5000659 TRUE
89 0.4999704 0.4998704 0.5000704 TRUE
90 0.5000200 0.4999200 0.5001200 TRUE
91 0.5000619 0.4999619 0.5001619 TRUE
92 0.5000026 0.4999026 0.5001026 TRUE
93 0.5000640 0.4999640 0.5001640 TRUE
94 0.4999900 0.4998900 0.5000900 TRUE
95 0.4999018 0.4998018 0.5000018 TRUE
96 0.4999759 0.4998759 0.5000759 TRUE
97 0.5000604 0.4999604 0.5001604 TRUE
98 0.4999934 0.4998934 0.5000934 TRUE
99 0.5000681 0.4999681 0.5001681 TRUE
100 0.4999339 0.4998339 0.5000339 TRUE
$layers
$layers[[1]]
geom_dotplot: binaxis = x, stackdir = up, stackratio = 1, dotsize = 1, stackgroups = FALSE, na.rm = FALSE
stat_bindot: binaxis = x, binwidth = NULL, binpositions = bygroup, method = dotdensity, origin = NULL, right = TRUE, width = 0.9, drop = FALSE, na.rm = FALSE
position_identity
$layers[[2]]
mapping: xintercept = ~xintercept
geom_vline: na.rm = FALSE
stat_identity: na.rm = FALSE
position_identity
$scales
<ggproto object: Class ScalesList, gg>
add: function
add_defaults: function
add_missing: function
backtransform_df: function
clone: function
find: function
get_scales: function
has_scale: function
input: function
map_df: function
n: function
non_position_scales: function
scales: list
set_palettes: function
train_df: function
transform_df: function
super: <ggproto object: Class ScalesList, gg>
$guides
<Guides[0] ggproto object>
<empty>
$mapping
$x
<quosure>
expr: ^phat
env: global
$colour
<quosure>
expr: ^good_ci
env: global
$fill
<quosure>
expr: ^good_ci
env: global
attr(,"class")
[1] "uneval"
$theme
$line
$colour
[1] "black"
$linewidth
[1] 0.5
$linetype
[1] 1
$lineend
[1] "butt"
$arrow
[1] FALSE
$inherit.blank
[1] TRUE
attr(,"class")
[1] "element_line" "element"
$rect
$fill
[1] "white"
$colour
[1] "black"
$linewidth
[1] 0.5
$linetype
[1] 1
$inherit.blank
[1] TRUE
attr(,"class")
[1] "element_rect" "element"
$text
$family
[1] ""
$face
[1] "plain"
$colour
[1] "black"
$size
[1] 11
$hjust
[1] 0.5
$vjust
[1] 0.5
$angle
[1] 0
$lineheight
[1] 0.9
$margin
[1] 0points 0points 0points 0points
$debug
[1] FALSE
$inherit.blank
[1] TRUE
attr(,"class")
[1] "element_text" "element"
$title
NULL
$aspect.ratio
NULL
$axis.title
NULL
$axis.title.x
$family
NULL
$face
NULL
$colour
NULL
$size
NULL
$hjust
NULL
$vjust
[1] 1
$angle
NULL
$lineheight
NULL
$margin
[1] 2.75points 0points 0points 0points
$debug
NULL
$inherit.blank
[1] TRUE
attr(,"class")
[1] "element_text" "element"
$axis.title.x.top
$family
NULL
$face
NULL
$colour
NULL
$size
NULL
$hjust
NULL
$vjust
[1] 0
$angle
NULL
$lineheight
NULL
$margin
[1] 0points 0points 2.75points 0points
$debug
NULL
$inherit.blank
[1] TRUE
attr(,"class")
[1] "element_text" "element"
$axis.title.x.bottom
NULL
$axis.title.y
$family
NULL
$face
NULL
$colour
NULL
$size
NULL
$hjust
NULL
$vjust
[1] 1
$angle
[1] 90
$lineheight
NULL
$margin
[1] 0points 2.75points 0points 0points
$debug
NULL
$inherit.blank
[1] TRUE
attr(,"class")
[1] "element_text" "element"
$axis.title.y.left
NULL
$axis.title.y.right
$family
NULL
$face
NULL
$colour
NULL
$size
NULL
$hjust
NULL
$vjust
[1] 1
$angle
[1] -90
$lineheight
NULL
$margin
[1] 0points 0points 0points 2.75points
$debug
NULL
$inherit.blank
[1] TRUE
attr(,"class")
[1] "element_text" "element"
$axis.text
$family
NULL
$face
NULL
$colour
[1] "grey30"
$size
[1] 0.8 *
$hjust
NULL
$vjust
NULL
$angle
NULL
$lineheight
NULL
$margin
NULL
$debug
NULL
$inherit.blank
[1] TRUE
attr(,"class")
[1] "element_text" "element"
$axis.text.x
$family
NULL
$face
NULL
$colour
NULL
$size
NULL
$hjust
NULL
$vjust
[1] 1
$angle
NULL
$lineheight
NULL
$margin
[1] 2.2points 0points 0points 0points
$debug
NULL
$inherit.blank
[1] TRUE
attr(,"class")
[1] "element_text" "element"
$axis.text.x.top
$family
NULL
$face
NULL
$colour
NULL
$size
NULL
$hjust
NULL
$vjust
[1] 0
$angle
NULL
$lineheight
NULL
$margin
[1] 0points 0points 2.2points 0points
$debug
NULL
$inherit.blank
[1] TRUE
attr(,"class")
[1] "element_text" "element"
$axis.text.x.bottom
NULL
$axis.text.y
$family
NULL
$face
NULL
$colour
NULL
$size
NULL
$hjust
[1] 1
$vjust
NULL
$angle
NULL
$lineheight
NULL
$margin
[1] 0points 2.2points 0points 0points
$debug
NULL
$inherit.blank
[1] TRUE
attr(,"class")
[1] "element_text" "element"
$axis.text.y.left
NULL
$axis.text.y.right
$family
NULL
$face
NULL
$colour
NULL
$size
NULL
$hjust
[1] 0
$vjust
NULL
$angle
NULL
$lineheight
NULL
$margin
[1] 0points 0points 0points 2.2points
$debug
NULL
$inherit.blank
[1] TRUE
attr(,"class")
[1] "element_text" "element"
$axis.text.theta
NULL
$axis.text.r
$family
NULL
$face
NULL
$colour
NULL
$size
NULL
$hjust
[1] 0.5
$vjust
NULL
$angle
NULL
$lineheight
NULL
$margin
[1] 0points 2.2points 0points 2.2points
$debug
NULL
$inherit.blank
[1] TRUE
attr(,"class")
[1] "element_text" "element"
$axis.ticks
$colour
[1] "grey20"
$linewidth
NULL
$linetype
NULL
$lineend
NULL
$arrow
[1] FALSE
$inherit.blank
[1] TRUE
attr(,"class")
[1] "element_line" "element"
$axis.ticks.x
NULL
$axis.ticks.x.top
NULL
$axis.ticks.x.bottom
NULL
$axis.ticks.y
NULL
$axis.ticks.y.left
NULL
$axis.ticks.y.right
NULL
$axis.ticks.theta
NULL
$axis.ticks.r
NULL
$axis.minor.ticks.x.top
NULL
$axis.minor.ticks.x.bottom
NULL
$axis.minor.ticks.y.left
NULL
$axis.minor.ticks.y.right
NULL
$axis.minor.ticks.theta
NULL
$axis.minor.ticks.r
NULL
$axis.ticks.length
[1] 2.75points
$axis.ticks.length.x
NULL
$axis.ticks.length.x.top
NULL
$axis.ticks.length.x.bottom
NULL
$axis.ticks.length.y
NULL
$axis.ticks.length.y.left
NULL
$axis.ticks.length.y.right
NULL
$axis.ticks.length.theta
NULL
$axis.ticks.length.r
NULL
$axis.minor.ticks.length
[1] 0.75 *
$axis.minor.ticks.length.x
NULL
$axis.minor.ticks.length.x.top
NULL
$axis.minor.ticks.length.x.bottom
NULL
$axis.minor.ticks.length.y
NULL
$axis.minor.ticks.length.y.left
NULL
$axis.minor.ticks.length.y.right
NULL
$axis.minor.ticks.length.theta
NULL
$axis.minor.ticks.length.r
NULL
$axis.line
$colour
[1] "black"
$linewidth
[1] 1 *
$linetype
NULL
$lineend
NULL
$arrow
[1] FALSE
$inherit.blank
[1] FALSE
attr(,"class")
[1] "element_line" "element"
$axis.line.x
NULL
$axis.line.x.top
NULL
$axis.line.x.bottom
NULL
$axis.line.y
NULL
$axis.line.y.left
NULL
$axis.line.y.right
NULL
$axis.line.theta
NULL
$axis.line.r
NULL
$legend.background
$fill
NULL
$colour
[1] NA
$linewidth
NULL
$linetype
NULL
$inherit.blank
[1] TRUE
attr(,"class")
[1] "element_rect" "element"
$legend.margin
[1] 5.5points 5.5points 5.5points 5.5points
$legend.spacing
[1] 11points
$legend.spacing.x
NULL
$legend.spacing.y
NULL
$legend.key
NULL
$legend.key.size
[1] 1.2lines
$legend.key.height
NULL
$legend.key.width
NULL
$legend.key.spacing
[1] 5.5points
$legend.key.spacing.x
NULL
$legend.key.spacing.y
NULL
$legend.frame
NULL
$legend.ticks
NULL
$legend.ticks.length
[1] 0.2 *
$legend.axis.line
NULL
$legend.text
$family
NULL
$face
NULL
$colour
NULL
$size
[1] 0.8 *
$hjust
NULL
$vjust
NULL
$angle
NULL
$lineheight
NULL
$margin
NULL
$debug
NULL
$inherit.blank
[1] TRUE
attr(,"class")
[1] "element_text" "element"
$legend.text.position
NULL
$legend.title
$family
NULL
$face
NULL
$colour
NULL
$size
NULL
$hjust
[1] 0
$vjust
NULL
$angle
NULL
$lineheight
NULL
$margin
NULL
$debug
NULL
$inherit.blank
[1] TRUE
attr(,"class")
[1] "element_text" "element"
$legend.title.position
NULL
$legend.position
[1] "none"
$legend.position.inside
NULL
$legend.direction
NULL
$legend.byrow
NULL
$legend.justification
[1] "center"
$legend.justification.top
NULL
$legend.justification.bottom
NULL
$legend.justification.left
NULL
$legend.justification.right
NULL
$legend.justification.inside
NULL
$legend.location
NULL
$legend.box
NULL
$legend.box.just
NULL
$legend.box.margin
[1] 0cm 0cm 0cm 0cm
$legend.box.background
list()
attr(,"class")
[1] "element_blank" "element"
$legend.box.spacing
[1] 11points
$panel.background
$fill
[1] "white"
$colour
[1] NA
$linewidth
NULL
$linetype
NULL
$inherit.blank
[1] TRUE
attr(,"class")
[1] "element_rect" "element"
$panel.border
list()
attr(,"class")
[1] "element_blank" "element"
$panel.spacing
[1] 5.5points
$panel.spacing.x
NULL
$panel.spacing.y
NULL
$panel.grid
$colour
[1] "grey92"
$linewidth
NULL
$linetype
NULL
$lineend
NULL
$arrow
[1] FALSE
$inherit.blank
[1] TRUE
attr(,"class")
[1] "element_line" "element"
$panel.grid.major
list()
attr(,"class")
[1] "element_blank" "element"
$panel.grid.minor
list()
attr(,"class")
[1] "element_blank" "element"
$panel.grid.major.x
NULL
$panel.grid.major.y
NULL
$panel.grid.minor.x
NULL
$panel.grid.minor.y
NULL
$panel.ontop
[1] FALSE
$plot.background
$fill
NULL
$colour
[1] "white"
$linewidth
NULL
$linetype
NULL
$inherit.blank
[1] TRUE
attr(,"class")
[1] "element_rect" "element"
$plot.title
$family
NULL
$face
NULL
$colour
NULL
$size
[1] 1.2 *
$hjust
[1] 0
$vjust
[1] 1
$angle
NULL
$lineheight
NULL
$margin
[1] 0points 0points 5.5points 0points
$debug
NULL
$inherit.blank
[1] TRUE
attr(,"class")
[1] "element_text" "element"
$plot.title.position
[1] "panel"
$plot.subtitle
$family
NULL
$face
NULL
$colour
NULL
$size
NULL
$hjust
[1] 0
$vjust
[1] 1
$angle
NULL
$lineheight
NULL
$margin
[1] 0points 0points 5.5points 0points
$debug
NULL
$inherit.blank
[1] TRUE
attr(,"class")
[1] "element_text" "element"
$plot.caption
$family
NULL
$face
NULL
$colour
NULL
$size
[1] 0.8 *
$hjust
[1] 1
$vjust
[1] 1
$angle
NULL
$lineheight
NULL
$margin
[1] 5.5points 0points 0points 0points
$debug
NULL
$inherit.blank
[1] TRUE
attr(,"class")
[1] "element_text" "element"
$plot.caption.position
[1] "panel"
$plot.tag
$family
NULL
$face
NULL
$colour
NULL
$size
[1] 1.2 *
$hjust
[1] 0.5
$vjust
[1] 0.5
$angle
NULL
$lineheight
NULL
$margin
NULL
$debug
NULL
$inherit.blank
[1] TRUE
attr(,"class")
[1] "element_text" "element"
$plot.tag.position
[1] "topleft"
$plot.tag.location
NULL
$plot.margin
[1] 5.5points 5.5points 5.5points 5.5points
$strip.background
$fill
[1] "white"
$colour
[1] "black"
$linewidth
[1] 2 *
$linetype
NULL
$inherit.blank
[1] TRUE
attr(,"class")
[1] "element_rect" "element"
$strip.background.x
NULL
$strip.background.y
NULL
$strip.clip
[1] "inherit"
$strip.placement
[1] "inside"
$strip.text
$family
NULL
$face
NULL
$colour
[1] "grey10"
$size
[1] 0.8 *
$hjust
NULL
$vjust
NULL
$angle
NULL
$lineheight
NULL
$margin
[1] 4.4points 4.4points 4.4points 4.4points
$debug
NULL
$inherit.blank
[1] TRUE
attr(,"class")
[1] "element_text" "element"
$strip.text.x
NULL
$strip.text.x.bottom
NULL
$strip.text.x.top
NULL
$strip.text.y
$family
NULL
$face
NULL
$colour
NULL
$size
NULL
$hjust
NULL
$vjust
NULL
$angle
[1] -90
$lineheight
NULL
$margin
NULL
$debug
NULL
$inherit.blank
[1] TRUE
attr(,"class")
[1] "element_text" "element"
$strip.text.y.left
$family
NULL
$face
NULL
$colour
NULL
$size
NULL
$hjust
NULL
$vjust
NULL
$angle
[1] 90
$lineheight
NULL
$margin
NULL
$debug
NULL
$inherit.blank
[1] TRUE
attr(,"class")
[1] "element_text" "element"
$strip.text.y.right
NULL
$strip.switch.pad.grid
[1] 2.75points
$strip.switch.pad.wrap
[1] 2.75points
attr(,"class")
[1] "theme" "gg"
attr(,"complete")
[1] TRUE
attr(,"validate")
[1] TRUE
$coordinates
<ggproto object: Class CoordCartesian, Coord, gg>
aspect: function
backtransform_range: function
clip: on
default: TRUE
distance: function
draw_panel: function
expand: TRUE
is_free: function
is_linear: function
labels: function
limits: list
modify_scales: function
range: function
render_axis_h: function
render_axis_v: function
render_bg: function
render_fg: function
reverse: none
setup_data: function
setup_layout: function
setup_panel_guides: function
setup_panel_params: function
setup_params: function
train_panel_guides: function
transform: function
super: <ggproto object: Class CoordCartesian, Coord, gg>
$facet
<ggproto object: Class FacetNull, Facet, gg>
attach_axes: function
attach_strips: function
compute_layout: function
draw_back: function
draw_front: function
draw_labels: function
draw_panel_content: function
draw_panels: function
finish_data: function
format_strip_labels: function
init_gtable: function
init_scales: function
map_data: function
params: list
set_panel_size: function
setup_data: function
setup_panel_params: function
setup_params: function
shrink: TRUE
train_scales: function
vars: function
super: <ggproto object: Class FacetNull, Facet, gg>
$plot_env
<environment: R_GlobalEnv>
$layout
<ggproto object: Class Layout, gg>
coord: NULL
coord_params: list
facet: NULL
facet_params: list
finish_data: function
get_scales: function
layout: NULL
map_position: function
panel_params: NULL
panel_scales_x: NULL
panel_scales_y: NULL
render: function
render_labels: function
reset_scales: function
resolve_label: function
setup: function
setup_panel_guides: function
setup_panel_params: function
train_position: function
super: <ggproto object: Class Layout, gg>
$labels
$labels$x
[1] "Proportion of heads"
$labels$colour
[1] "good_ci"
$labels$fill
[1] "good_ci"
$labels$xintercept
[1] "xintercept"
$labels$y
[1] "count"
attr(,"fallback")
[1] TRUE
attr(,"class")
[1] "gg" "ggplot"
The previous figures illustrate that the more flips there are, the more likely it is that we observe a proportion of flips landing on heads close to 0.5. We also see that with more flips we can refine our definition of “close to 0.5”: increasing the number of flips by a factor of 100 (10,000 to 1,000,000 to 100,000,000) seems to give us an additional decimal place of precision (\(0.5\pm0.01\) to \(0.5\pm 0.001\) to \(0.5\pm 0.0001\).)
3.6.1 A closer look at margin of error
We will now carry out an analysis similar to the one above to investigate simulation margin of error and how it is influenced by the number of simulated values used to compute the relative frequency. Continuing the dice example, suppose we want to estimate \(p=\textrm{P}(X=6)\), the probability that the sum of two rolls of a fair four-sided equals six. Since there are 16 possible equally likely outcomes, 3 of which result in a sum of 3, the true probability is \(p=3/16=0.1875\).
We will perform a “meta-simulation”. The process is as follows
- Simulate two rolls of a fair four-sided die. Compute the sum (\(X\)) and see if it is equal to 6.
- Repeat step 1 to generate \(N\) simulated values of the sum (\(X\)). Compute the relative frequency of sixes: count the number of the \(N\) simulated values equal to 6 and divide by \(N\). Denote this relative frequency \(\hat{p}\) (read “p-hat”).
- Repeat step 2 a large number of times, recording the relative frequency \(\hat{p}\) for each set of \(N\) values.
Be sure to distinguish between steps 2 and 3. A simulation will typically involve just steps 1 and 2, resulting in a single relative frequency based on \(N\) simulated values. Step 3 is the “meta” step; we see how this relative frequency varies from simulation to simulation to help us in determing an appropriate margin of error. The important quantity in this analysis is \(N\), the number of independently simulated values used to compute the relative frequency in a single simulation. We wish to see how \(N\) impacts margin of error. The number of simulations in step 3 just needs to be “large” enough to provide a clear picture of how the relative frequency varies from simulation to simulation. The more the relative frequency varies from simulation to simulation, the larger the margin of error needs to be.
We can combine steps 1 and 2 of the meta-simulation to put it in the framework of the simulations from earlier in this chapter. Namely, we can code the meta-simulation as a single simulation in which
- A sample space outcome represents \(N\) values of the sum of two fair-four sided dice
- The main random variable of interest is the proportion of the \(N\) values which are equal to 6.
Let’s first consider \(N=100\). The following Symbulate code defines the probability space corresponding to 100 values of the sum of two-fair four sided dice. Notice the use of apply which functions much in the same way26 as RV.
N = 100
P = BoxModel([1, 2, 3, 4], size = 2).apply(sum) ** N
P.sim(5)| Index | Result |
|---|---|
| 0 | (5, 6, 6, 4, 5, ..., 8) |
| 1 | (7, 4, 4, 3, 7, ..., 5) |
| 2 | (8, 3, 6, 4, 5, ..., 4) |
| 3 | (8, 5, 6, 7, 6, ..., 7) |
| 4 | (2, 5, 5, 7, 6, ..., 4) |
In the code above
BoxModel([1, 2, 3, 4], size = 2)simulates two rolls of a fair four-sided die.apply(sum)computes the sum of the two rolls** Nrepeats the processNtimes to generate a set ofNindependent values, each value representing the sum of two rolls of a fair four-sided dieP.sim(5)simulates 5 sets, each set consisting ofNsums
Now we define the random variable which takes as an input a set of \(N\) sums and returns the proportion of the \(N\) sums which are equal to six.
phat = RV(P, count_eq(6)) / N
phat.sim(5)| Index | Result |
|---|---|
| 0 | 0.19 |
| 1 | 0.17 |
| 2 | 0.15 |
| 3 | 0.17 |
| 4 | 0.19 |
In the code above
phatis anRVdefined on the probability spaceP. Recall that an outcome ofPis a set ofNsums (and each sum is the sum of two rolls of a fair four-sided die).- The function that defines the
RViscount.eq(6), which counts the number of values in the set that are equal to 6. We then27 divide byN, the total number of values in the set, to get the relative frequency. (Remember that a transformation of a random variable is also a random variable.) phat.sim(5)generates 5 simulated values of the relative frequencyphat. Each simulated value ofphatis the relative frequency of sixes inNsums of two rolls of a fair four-sided die.
Now we simulate and summarize a large number of values of phat. We’ll simulate 100 values for illustration (as we did in Figure 3.12, Figure 3.14, and Figure 3.15). Be sure not to confuse 100 with N. Remember, the important quantity is N, the number of simulated values used in computing each relative frequency.

phat.sim(100).plot(type = "impulse", normalize = False)
plt.ylabel('Number of simulations');We see that the 100 relative frequencies are roughly centered around the true probability 0.1875, but there is variability in the relative frequencies from simulation to simulation. From the range of values, we see that most relative frequencies are within about 0.08 or so from the true probability 0.1875. So a value around 0.08 seems like a reasonable value of the margin of error, but the actual value depends on what we mean by “most”. We can get a clearer picture if we run more simulations. The following plot displays the results of 10000 simulations, each resulting in a value of \(\hat{p}\). Remember that each relative frequency is based on \(N=100\) sums of two rolls.

phats = phat.sim(10000)
phats.plot(type = "impulse", normalize = False)
plt.ylabel('Number of simulations');Let’s see how many of these 10000 simulated proportions are within 0.08 of the true probability 0.1875.
1 - (phats.count_lt(0.1875 - 0.08) + phats.count_gt(0.1875 + 0.08)) / 100000.9609
In roughly 95% or so of simulations, the simulated relative frequency was within 0.08 of the true probability. So 0.08 seems like a reasonable margin of error for “95% confidence” or “95% accuracy”. However, a margin of error of 0.08 yields pretty imprecise estimates, ranging from about 0.10 to 0.27. Can we keep the degree of accuracy at 95% but get a smaller margin of error, and hence a more precise estimate? Yes, if we increase the number of repetitions used to compute the relative frequency.
Now we repeat the analysis, but with \(N=10000\). In this case, each relative frequency is computed based on 10000 independent values, each value representing a sum of two rolls of a fair four-sided die. As before we start with 100 simulated relative frequencies.

N = 10000
P = BoxModel([1, 2, 3, 4], size = 2).apply(sum) ** N
phat = RV(P, count_eq(6)) / N
phats = phat.sim(100)
phats.plot(type = "impulse", normalize = False)
plt.ylabel('Number of simulations');Again we see that the 100 relative frequencies are roughly centered around the true probability 0.1875, but there is less variability in the relative frequencies from simulation to simulation for \(N=10000\) than for \(N=100\). Pay close attention to the horizontal axis. From the range of values, we see that most relative frequencies are now within about 0.008 of the true probability 0.1875.
1 - (phats.count_lt(0.1875 - 0.008) + phats.count_gt(0.1875 + 0.008)) / 1000.95
As with \(N=100\), running more than 100 simulations would give a clearer picture of how much the relative frequency based on \(N=10000\) simulated values varies from simulation to simulation. But even with just 100 simulations, we see that a margin of error of about 0.008 is required for roughly 95% accuracy when \(N=10000\), as opposed to 0.08 when \(N=100\). As we observed in the coin flipping example earlier in this section, it appears that increasing \(N\) by a factor of 100 yields an extra decimal place of precision. That is, increasing \(N\) by a factor of 100 decreases the margin of error by a factor of \(\sqrt{100}\). In general, the margin of error is inversely related to \(\sqrt{N}\).
| Probability that | True value | 95% m.o.e. (N = 100) | 95% m.o.e. (N = 10000) | 95% m.o.e. (N = 1000000) |
|---|---|---|---|---|
| A fair coin flip lands H | 0.5000 | 0.1000 | 0.0100 | 0.0010 |
| Two rolls of a fair four-sided die sum to 6 | 0.1875 | 0.0781 | 0.0078 | 0.0008 |
The two examples in this section illustrate that the margin of error also depends somewhat on the true probability. The margin of error required for 95% accuracy is larger when the true probability is 0.5 than when it is 0.1875. It can be shown that when estimating a probability \(p\) with a relative frequency based on \(N\) simulated repetitions, the margin of error required for 95% confidence28 is \[ 2\frac{\sqrt{p(1-p)}}{\sqrt{N}} \] For a given \(N\), the above quantity is maximized when \(p\) is 0.5. Since \(p\) is usually unknown—the reason for performing the simulation is to approximate it—we plug in 0.5 for a somewhat conservative margin of error of \(1/\sqrt{N}\).
For a fixed \(N\), there is a tradeoff between accuracy and precision. The factor 2 in the margin of error formula above corresponds to 95% accuracy. Greater accuracy would require a larger factor, and a larger margin of error, resulting in a wider—that is, less precise—interval. For example, 99% confidence requires a factor of roughly 2.6 instead of 2, resulting in an interval that is roughly 30 percent wider. The confidence level does matter, but the primary influencer of margin of error is \(N\), the number of independently simulated repetitions on which the relative frequency is based. Regardless of confidence level, the margin of error is on the order of magnitude of \(1/\sqrt{N}\).
In summary, the margin of error when approximating a probability based on a simulated relative frequency is roughly on the order \(1/\sqrt{N}\), where \(N\) is the number of independently simulated repetitions used to calculate the relative frequency. Warning: alternative methods are necessary when the actual probability being estimated is very close to 0 or to 1.
A probability is a theoretical long run relative frequency. A probability can be approximated by a relative frequency from a large number of simulated repetitions, but there is some simulation margin of error. Likewise, the average value of \(X\) after a large number of simulated repetitions is only an approximation to the theoretical long run average value of \(X\), that is, the expected value of \(X\). The margin of error is also on the order of \(1/\sqrt{N}\) where \(N\) is the number of independently simulated values used to compute the average, but the degree of variability of the random variable also plays a role. We will explore margins of error for long run averages in more detail later.
Pay attention to what \(N\) denotes: \(N\) is the number of independently29 simulated repetitions used to calculate the relative frequency. This is not necessarily the number of simulated repetitions. For example, suppose we use simulation to approximate the conditional probability that the larger of two rolls of a fair four-sided die is 4 given that the sum is equal to 6. We might start by simulating 10000 pairs of rolls. But the sum would be equal to 6 in only about 1875 pairs, and it is only these pairs that would be used to compute the relative frequency that the larger roll is 4 to approximate the probability of interest. The appropriate margin of error is roughly \(1/\sqrt{1875} \approx 0.023\). Compared to 0.01 (based on the original 10000 repetitions), the margin of error of 0.023 for the conditional probability results in intervals that are 130 percent wider. Carefully identifying the number of repetitions used to calculate the relative frequency is especially important when determining appropriate simulation margins of error for approximating conditional probabilities, which we’ll discuss in more detail later.
3.6.2 Approximating multiple probabilities
When using simulation to estimate a single probability, the primary influencer of margin of error is \(N\), the number of repetitions on which the relative frequency is based. It doesn’t matter as much whether we use, say, 95% versus 99% confidence (either way, it’s an “A”). That is, it doesn’t matter too much whether we compute our margin of error using \[ 2\frac{\sqrt{p(1-p)}}{\sqrt{N}}, \] with a multiple of 2 for 95% confidence, or if we replace 2 by 2.6 for 99% confidence. (Remember, we can plug in 0.5 for the unknown \(p\) for a conservative margin of error.) A margin of error based on 95% or 99% (or another confidence level in the neighborhood) provides a reasonably accurate estimate of the probability. However, using simulation to approximate multiple probabilities simultaneously requires a little more care with the confidence level.
In the previous section we used simulation to estimate \(\textrm{P}(X=6)\). Now suppose we want to approximate \(\textrm{P}(X = x)\) for each value of \(x = 2,3,4,5,6,7,8\). We could run a simulation to obtain results like those in Figure 3.11 and the table before it. Each of the relative frequencies in the table is an approximation of the true probability, and so each of the relative frequencies should have a margin of error, say 0.01 for a simulation based on 10000 repetitions. Thus, the simulation results yield a collection of seven interval estimates, an interval estimate of \(\textrm{P}(X = x)\) for each value of \(x = 2,3,4,5,6,7,8\). Each interval in the collection either contains the respective true probability or not. The question is then: In what percent of simulations will every interval in the collection contain the respective true probability?
Figure 3.16 summarizes the results of 100 simulations. Each simulation consists of 10000 repetitions, with results similar to those in Figure 3.11 and the table before it. Each simulation is represented by a row in Figure 3.16, consisting of seven 95% interval estimates, one for each value of \(x\). (The rows have been sorted before plotting; see the next paragraph.) Each panel represents a different value of \(x\); for each value of \(x\), around 95 out of the 100 simulations yield estimates that contain the true probability \(\textrm{P}(X=x)\), represented by the vertical line.
However, let’s zoom in on the bottom of Figure 3.16. Figure 3.17 displays the results of the 21 simulations at the bottom of Figure 3.16. Look carefully row by row in Figure 3.17; in each of these simulations at least one of the seven intervals in the collection does not contain the true probability. In other words, every interval in the collection contains the respective true probability in only 79 of the 100 simulations (the other simulations in Figure 3.16).) While we have 95 percent confidence in our interval estimate of \(\textrm{P}(X = x)\) for any single \(x\), we only have around 79 percent confidence in our approximate distribution of \(X\). Our confidence “grade” has gone from “A” range (95 percent) to “C” range (79 percent).

When approximating multiple probabilities based on a single simulation, such as when approximating a distribution, margins of error and interval estimates need to be adjusted to obtain simultaneous 95% confidence. The easiest way to do this is to make all of the intervals in the collection wider.
There are many procedures for adjusting a collection of interval estimates to achieve simultaneous confidence; we won’t get into any technical details. As a very rough, but simple and typically conservative rule, when approximating many probabilities based on a single simulation, we recommend making the margin of error twice as large as when approximating a single probability. That is, use a margin of error of \(2/\sqrt{N}\) (rather than \(1/\sqrt{N}\)) to achieve simultaneous 95% confidence when approximating many probabilities based on a single simulation.
Figure 3.18 displays the same simulation results as Figure 3.16, but now the margin of error for each confidence interval is 2 times greater. We can see that all of the original “bad” intervals turn “good” when widened, and now there is (greater than) 95% simultaneous confidence.
3.6.3 Beware a false sense of precision
Why don’t we always run something like one trillion repetitions so that our margin of error is tiny? There is a cost to simulating and storing more repetitions in terms of computational time and memory. Also, remember that simulating one trillion repetitions doesn’t guarantee that the margin of error is actually based on anywhere close to one trillion repetitions, especially when conditioning on a low probability event.
Most importantly, keep in mind that any probability model is based on a series of assumptions and these assumptions are not satisfied exactly by the random phenomenon. A precise estimate of a probability under the assumptions of the model is not necessarily a comparably precise estimate of the true probability. Reporting probability estimates out to many decimal places conveys a false sense of precision and should typically be avoided.
For example, the probability that any particular coin lands on heads is probably not 0.5 exactly. But any difference between the true probability of the coin landing on heads and 0.5 is likely not large enough to be practically meaningful30. That is, assuming the coin is fair is a reasonable model.
Suppose we assume that the probability that a coin lands on heads is exactly 0.5 and that the results of different flips are independent. If we flip the coin 1000 times the probability that it lands on heads at most 490 times is 0.2739864. (We will see a formula for computing this value later.) If we were to simulate one trillion repetitions (each consisting of 1000 flips) to estimate this probability then our margin of error would be 0.000001; we could expect accuracy out to the sixth decimal place. However, reporting the probability with so many decimal places is somewhat disingenuous. If the probability that the coin lands on heads were 0.50001, then the probability of at most 490 heads in 1000 flips would be 0.2737757. If the probability that the coin lands on heads were 0.5001, then the probability of at most 490 heads in 1000 flips would be 0.2718834. Reporting our approximate probability as something like 0.2739864 \(\pm\) 0.000001 says more about the precision in our assumption that the coin is fair than it does about the true probability that the coin lands on heads at most 490 times in 1000 flips. A more honest conclusion would result from running 10000 repetitions and reporting our approximate probability as something like 0.27 \(\pm\) 0.01. Such a conclusion reflects more genuinely that there’s some “wiggle room” in our assumptions, and that any probability computed according to our model is at best a reasonable approximation of the “true” probability.
For most of the situations we’ll encounter in this book, estimating a probability to within 0.01 of its true value will be sufficient for practical purposes, and so basing approximations on 10000 independently simulated values will be appropriate. Of course, there are real situations where probabilities need to be estimated much more precisely, e.g., the probability that a bridge will collapse. Such situations require more intensive methods.
3.6.4 Exercises
Exercise 3.16 Use simulation to approximate the probability that at least two people in a group of \(n=30\) share a birthday in Example 2.48. Compute the margin of error and write a clearly worded sentence reporting your approximate probability in context.
Exercise 3.17 The latest series of collectible Lego Minifigures contains 3 different Minifigure prizes (labeled 1, 2, 3). Each package contains a single unknown prize. Suppose we only buy 3 packages and we consider as our sample space outcome the results of just these 3 packages (prize in package 1, prize in package 2, prize in package 3). For example, 323 (or (3, 2, 3)) represents prize 3 in the first package, prize 2 in the second package, prize 3 in the third package. Let \(X\) be the number of distinct prizes obtained in these 3 packages. Let \(Y\) be the number of these 3 packages that contain prize 1.
Suppose you simulate 10000 \((X, Y)\) pairs and use the results to approximate all of
- Marginal distribution of \(X\)
- Marginal distribution of \(Y\)
- Joint distribution of \(X\) and \(Y\)
What is the approximate margin of error for simultaneous 95% confidence?
3.7 Approximating expected values: Averages
On any single repetition of a simulation a particular event either occurs or not. Summarizing simulation results for events involves simply counting the number of repetitions on which the event occurs and finding related proportions.
On the other hand, random variables typically take many possible values over the course of many repetitions. We are still interested in relative frequencies of events, like \(\{X=6\}\), \(\{Y \ge 3\}\), and \(\{X > 5, Y \ge 3\}\). But for random variables we are also interested in their distributions which describe the possible values that the random variables can take and their relative likelihoods. A marginal distribution contains all the information about the pattern of variability of a single random variable alone, and a joint distribution contains all the information about the pattern of variability of a collection of random variables. It is also useful to summarize some key features of the pattern of variability.
One summary characteristic of a marginal distribution of a random variable is the expected value. In Section 1.7 and Section 2.5.3 we discussed how an expected value can be interpreted as the long run average value of a random variable. We can approximate the long run average value by simulating many values of the random variable and computing the average (a.k.a. mean) in the usual way: sum all the simulated values and divide by the number of simulated values.
We have seen a few examples of how to compute expected values for discrete random variables as probability-weighted average values. The computation of expected values for continuous random variables is more complicated. However, expected values can also be interpreted as long run average values for continuous random variables. Therefore, expected values can be approximated in the same way for discrete and continuous random variables: simulate lots of values and compute the average.
In the examples in the section we only considered 10 simulated repetitions to emphasize that we’re simply computing an average in the usual way. But to get a good approximation of an expected value, we’ll need to simulate many more values and average. We’ll soon explore what happens to the average as we simulate more values, but first a caution about averages of transformations.
3.7.1 Averages of transformations
We often transform random variables to obtain other random variables, e.g. \(X\) to \(g(X)\). To obtain the average of the transformed variable, we cannot simply plug the average of the original variable into the transformation formula. Instead, we need to transform the values of the variable first and then average the transformed values. In general the order of transforming and averaging is not interchangeable. Whether in the short run or the long run, in general \[\begin{align*} \text{Average of $g(X)$} & \neq g(\text{Average of $X$})\\ \text{Average of $g(X, Y)$} & \neq g(\text{Average of $X$}, \text{Average of $Y$}) \end{align*}\]
In terms of expected value, in general \[\begin{align*} \textrm{E}(g(X)) & \neq g(\textrm{E}(X))\\ \textrm{E}(g(X, Y)) & \neq g(\textrm{E}(X), \textrm{E}(Y)) \end{align*}\]
3.7.2 Long run averages
We have investigated long run relative frequencies; see Section 1.2.1 and Section 3.6 in particular. Now let’s see what happens to averages in the long run. Continuing Example 3.10 let \(X\) be the sum of two rolls of a fair four-sided die. Table 3.11 displays the results of 10 pairs of rolls of a fair four-sided die. The first column is the repetition number (first pair, second pair, and so on) and the second column represents \(X\), the sum of the two rolls. The third column displays the running sum of \(X\) values, and the fourth column the running average of \(X\) values. Figure 3.19 displays the running average as a function of the number of repetitions. Of course, the results depend on the particular sequence of rolls. We encourage you to roll the dice and construct your own table and plot.
| Repetition | Value of X | Running sum of X | Running average of X |
|---|---|---|---|
| 1 | 3 | 3 | 3.000 |
| 2 | 2 | 5 | 2.500 |
| 3 | 6 | 11 | 3.667 |
| 4 | 7 | 18 | 4.500 |
| 5 | 5 | 23 | 4.600 |
| 6 | 7 | 30 | 5.000 |
| 7 | 5 | 35 | 5.000 |
| 8 | 6 | 41 | 5.125 |
| 9 | 3 | 44 | 4.889 |
| 10 | 7 | 51 | 5.100 |
Now we’ll perform 90 more repetitions for a total of 100. Figure 3.20 (a) summarizes the results, while Figure 3.20 (b) also displays the results for 3 additional simulations of 100 pairs of rolls. The running average fluctuates considerably in the early stages, but settles down and tends to get closer to 5 as the number of repetitions increases. However, each of the four simulations results in a different average of \(X\) after 100 pairs of rolls: 4.85 (gray), 4.9 (orange), 5.25 (blue), 4.79 (green). Even after 100 pairs of rolls the running average of \(X\) still fluctuates from simulation to simulation.
Now we’ll add 900 more repetitions for a total of 1000 in each simulation. Figure 3.21 (a) summarizes the results for our original set and Figure 3.21 (b) also displays the results for three additional simulations. Again, the running average of \(X\) fluctuates considerably in the early stages, but settles down and tends to get closer to 5 as the number of repetitions increases. Compared to the results after 100 repetitions, there is less variability between simulations in the running average of \(X\) after 1000 repetitions: 4.99 (gray), 4.964 (orange), 5.006 (blue), 4.933 (green). Now, even after 1000 repetitions the running average of \(X\) isn’t guaranteed to be exactly 5, but we see a tendency for the running average of \(X\) to get closer to 5 as the number of repetitions increases.
The marginal distribution of \(X\), depicted in Figure 2.16, shows that 5 is the “balance point” of the distribution. In Example 2.44 we saw that 5 is the probability-weighted average value of \(X\), and we interpreted 5 as the value of \(X\) we would “expect” to see on average in the long run. In this sense, 5 is the “true” long run average value of \(X\), and our simulation results agree. We will discuss later “true” long run average values or “expected values” in much more detail later. For now, we’ll rely on simulation: we can approximate the long run average value of a random variable \(X\) by simulating many values of \(X\) and finding the average in the usual way.
Recall that a probability is a theoretical long run relative frequency. A probability can be approximated by a relative frequency from a large number of simulated repetitions, but there is some simulation margin of error.
Likewise, the average value of \(X\) after a large number of simulated repetitions is only an approximation to the theoretical long run average value of \(X\), and there is margin of error due to natural variability in the simulation. The margin of error is also on the order of \(1/\sqrt{N}\) where \(N\) is the number of independently simulated values used to compute the average. However, the degree of variability of the random variable itself also influences the margin of error when approximating long run averages. In particular, if \(\sigma\) is the standard deviation (see Section 3.8) of the random variable, then the margin of error for the average is on the order of \(\sigma / \sqrt{N}\).
Remember that the long run average value is just one feature of a marginal distribution. There is much more to the long run pattern of variability of a random variable than just its average value. We are also interested in percentiles, degree of variability, and quantities that measure relationships between random variables. Two random variables can have the same long run average value but very different distributions. For example, the average temperature in both Phoenix, AZ and Miami, FL is around 75 degrees F, but the distribution of temperatures is not the same.
3.7.3 Averages in Symbulate
Continuing Example 3.10 let \(X\) be the sum of two rolls of a fair four-sided die. In Symbulate, we first simulate and store 10000 values of \(X\).
P = BoxModel([1, 2, 3, 4], size = 2)
X = RV(P, sum)
x = X.sim(10000)We can approximate the long run average value of \(X\) by computing the average—a.k.a., mean—of the 10000 simulated values in the usual way: sum the 10000 simulated values stored in x and divide by 10000. Here are a few ways of computing the mean of the simulated values.
x.sum() / 100004.9833
x.sum() / x.count()4.9833
x.mean()4.9833
Averages are computed the same way, regardless of whether the variable is discrete or continuous. The following code computes the average of 5 then 10000 simulated values of \(X\), a random variable with the Normal(30, 10) distribution from Section 3.2.2.
X = RV(Normal(30, 10))
x = X.sim(5)
x| Index | Result |
|---|---|
| 0 | 39.71625520756501 |
| 1 | 33.01924481847947 |
| 2 | 44.69724172857143 |
| 3 | 33.99830783036135 |
| 4 | 34.5067985870937 |
x.mean()37.187569634414196
x = X.sim(10000)
x| Index | Result |
|---|---|
| 0 | 13.043632846080147 |
| 1 | 25.71164225043016 |
| 2 | 14.29280816239234 |
| 3 | 44.26852374230779 |
| 4 | 36.27232542792389 |
| 5 | 22.934414450007438 |
| 6 | 9.59902733091283 |
| 7 | 30.636970350344924 |
| 8 | 14.073178395254358 |
| ... | ... |
| 9999 | 21.648706983654534 |
x.mean()30.076043607021983
Our simulation suggests that the long run average of a random variable with a Normal(30, 10) distribution is approximately 30. In general, one parameter of a Normal distribution represents its expected value, a.k.a., (long run) mean; the other parameter represents its standard deviation, which we will discuss soon (in Section 3.8).
3.7.4 Linearity of averages
Now we’ll introduce a useful properties of averages.
In general the order of transforming and averaging is not interchangeable. However, the order is interchangeable for linear transformations.
Theorem 3.1 (Linearity of averages) If \(X\) and \(Y\) are random variables and \(m\) and \(b\) are non-random constants, whether in the short run or the long run,
\[\begin{align*} \text{Average of $(mX+b)$} & = m(\text{Average of $X$})+b\\ \text{Average of $(X+Y)$} & = \text{Average of $X$} +\text{Average of $Y$} \end{align*}\]
The following just restates in terms of long run averages (expected values)
Theorem 3.2 (Linearity of expected value) If \(X\) and \(Y\) are random variables and \(m\) and \(b\) are non-random constants,
\[\begin{align*} \textrm{E}(mX+b) & = m\textrm{E}(X)+b\\ \textrm{E}(X+Y) & = \textrm{E}(X) + \textrm{E}(Y) \end{align*}\]
For example, if \(X\) measures temperature in degrees Celsius with average 24°C, then \(1.8X+32\) measures temperature in degrees Fahrenheit with average 75.2°F.
Averaging involves adding and dividing. Linear transformations involve only adding/subtracting and multiplying/dividing. The ability to interchange the order of averaging and linear transformations follows simply from basic properties of arithmetic (commutative, associative, distributive).
Note that the average of the sum of \(X\) and \(Y\) is the sum of the average of \(X\) and the average of \(Y\) regardless of the relationship between \(X\) and \(Y\). We will explore this idea in more detail later.
3.7.5 Averages of indicator random variables
Recall that indicators are the bridge between events and random variables. Indicators are also the bridge between relative frequencies and averages.
If \(\textrm{I}_A\) is the indicator random variable of an event \(A\), whether in the short run or the long run, \[ \text{Average of $\textrm{I}_A$} = \text{Relative frequency of $A$} \] In terms of our long run notation, the above long run result is \[ \textrm{E}(\textrm{I}_A) = \textrm{P}(A) \]
Indicators provide a bridge between events and random variables, and between probability and expected value.
3.7.6 Exercises
Exercise 3.18 Suppose that a total of 350 students at a college are taking a particular statistics course. The college offers five sections of the course, each taught by a different instructor. The class sizes are shown in the following table.
| Section | A | B | C | D | E |
| Number of students | 35 | 35 | 35 | 35 | 210 |
We are interested in: What is the average class size?
- Suppose we randomly select one of the 5 instructors. Let \(X\) be the class size for the selected instructor. Specify the distribution of \(X\). (A table is fine.)
- Compute and interpret \(\text{E}(X)\).
- Compute and interpret \(\text{P}(X = \text{E}(X))\).
- Suppose we randomly select one of the 350 students. Let \(Y\) be the class size for the selected student. Specify the distribution of \(Y\). (A table is fine.)
- Compute and interpret \(\text{E}(Y)\).
- Compute and interpret \(\text{P}(Y = \text{E}(Y))\).
- Comment on how these two expected values compare, and explain why they differ as they do. Which average would you say is more relevant?
Exercise 3.19 The latest series of collectible Lego Minifigures contains 3 different Minifigure prizes (labeled 1, 2, 3). Each package contains a single unknown prize. Suppose we only buy 3 packages and we consider as our sample space outcome the results of just these 3 packages (prize in package 1, prize in package 2, prize in package 3). For example, 323 (or (3, 2, 3)) represents prize 3 in the first package, prize 2 in the second package, prize 3 in the third package. Let \(X\) be the number of distinct prizes obtained in these 3 packages. Let \(Y\) be the number of these 3 packages that contain prize 1.
- Explain how you could, in principle, conduct a simulation by hand and use the results to approximate
- \(\textrm{E}(X)\)
- \(\textrm{E}(Y)\)
- \(\textrm{E}(X^2)\)
- \(\textrm{E}(XY)\)
- Write Symbulate code to conduct a simulation and approximate the values in part 1.
Exercise 3.20 Consider a continuous version of the dice rolling problem where instead of rolling two fair four-sided dice (which return values 1, 2, 3, 4) we spin twice a Uniform(1, 4) spinner (which returns any value in the continuous range between 1 and 4). Let \(X\) be the sum of the two spins and let \(Y\) be the larger of the two spins.
- Describe in words how you could use simulation to approximate
- \(\textrm{E}(X)\)
- \(\textrm{E}(Y)\)
- \(\textrm{E}(X^2)\)
- \(\textrm{E}(XY)\)
- Write Symbulate code to conduct a simulation to approximate the quantities in part 1.
3.8 Measuring variability: Variance and standard deviation
The long run average value is just one feature of a distribution. Random variables vary, and the distribution describes the entire pattern of variability. It is also convenient to measure the overall degree of variability in a single number. Some values of a variable are close to its mean and some are far, so to measure variability in a single number we might ask: how far are the values away from the mean on average? Variance and standard deviation are numbers that address this question.
Consider again a random variable \(X\) that follows a Normal(30, 10) distribution; we’ll assume \(X\) is measured in minutes (after noon) as in the meeting problem. Any Normal distribution has two parameters, the mean and the standard deviation; the Normal(30, 10) distribution has mean 30 (minutes) and standard deviation 10 (minutes). In Section 3.7.3 we saw simulation evidence supporting that the mean is 30. Now we’ll investigate the standard deviation, which measures, roughly, the average distance from the mean.
We’ll motivate the calculation of standard deviation using using just the 10 simulated values in Table 3.5, reproduced in Table 3.12. For now focus on only the first three columns of Table 3.12. We see how far a value is away from the mean by subtracting the mean, resulting in a “deviation”. Deviations are positive for values that are above the mean and negative for values that are below the mean. For example, the value 21.387 is 11.973 minutes below the mean.
| repetition | x | deviation | absolute_deviation | squared_deviation |
|---|---|---|---|---|
| 1 | 21.387 | -11.973 | 11.973 | 143.345 |
| 2 | 50.719 | 17.359 | 17.359 | 301.347 |
| 3 | 24.090 | -9.270 | 9.270 | 85.940 |
| 4 | 32.680 | -0.680 | 0.680 | 0.462 |
| 5 | 54.511 | 21.151 | 21.151 | 447.347 |
| 6 | 38.117 | 4.757 | 4.757 | 22.629 |
| 7 | 16.819 | -16.541 | 16.541 | 273.619 |
| 8 | 22.980 | -10.380 | 10.380 | 107.746 |
| 9 | 28.867 | -4.493 | 4.493 | 20.187 |
| 10 | 43.430 | 10.070 | 10.070 | 101.411 |
| Sum | 333.600 | 0.000 | 106.674 | 1504.033 |
| Average | 33.360 | 0.000 | 10.667 | 150.403 |
We might try to compute the average deviation from the mean, but this will always be 0. The mean is the balance point—that is, the center of gravity—so the (positive) deviations above the mean will always balance out, in total, with the (negative) deviations below the mean. However, regarding degree of variability, we only care about how far values are away from the mean, not if they’re above or below. So we take the absolute value of each deviation and then find the average. See the fourth column of Table 3.12, resulting in an average absolute deviation of 10.667 minutes.
Table 3.12 motivates the calculation, but we’re really interested in what happens in the long run, so let’s carry out the calculation for many simulated values.
X = RV(Normal(30, 10))
x = X.sim(10000)
x| Index | Result |
|---|---|
| 0 | 30.854701264223483 |
| 1 | 32.18602451516775 |
| 2 | 26.01404843627838 |
| 3 | 21.8079119347735 |
| 4 | 38.252372928854456 |
| 5 | 32.67591315368069 |
| 6 | 58.49606025356133 |
| 7 | 40.907900857524616 |
| 8 | 32.90324622476121 |
| ... | ... |
| 9999 | 24.140614903236216 |
The mean is about 30.
x.mean()29.951495449842653
Now we compute the absolute deviations from the mean.
abs(x - x.mean())| Index | Result |
|---|---|
| 0 | 0.9032058143808293 |
| 1 | 2.2345290653250984 |
| 2 | 3.937447013564274 |
| 3 | 8.143583515069153 |
| 4 | 8.300877479011803 |
| 5 | 2.7244177038380357 |
| 6 | 28.54456480371868 |
| 7 | 10.956405407681963 |
| 8 | 2.9517507749185583 |
| ... | ... |
| 9999 | 5.8108805466064375 |
Then we average the absolute deviations.
abs(x - x.mean()).mean()8.023974860792508
Unfortunately, the above calculation yields roughly 8 rather than the standard deviation of 10. It turns out that for a Normal(30, 10) distribution the long run average absolute deviation from the mean is about 8. We can conceptualize standard deviation as average distance from the mean, but the actual calculation of standard deviation is a little more complicated. Technically, we must first square all the distances and then average; the result is the variance. Then the square root of the variance is the standard deviation31.
\[\begin{align*} \text{Variance of } X & = \text{Average of } [(X - \text{Average of } X)^2]\\ \text{Standard deviation of } X & = \sqrt{\text{Variance of } X} \end{align*}\]
Returning to the 10 simulated values in Table 3.12, the fifth column contains the squared deviations. Notice that squaring the deviations has a similar effect to taking the absolute value: a value that is 3 units above the mean has the same squared deviation as a value that is 3 units below the mean (since \(3^2 = (-3)^2\)). Now we average the squared deviations to obtain the variance. The average is computed in the usual way: sum all the values and divide by the number of values32. But now each value included in the average is the squared deviation of \(X\) from the mean, rather than the value of \(X\) itself. The variance of the 10 simulated values is 150.403. This probably seems like a weird number, and it is: because we squared all the deviations before averaging, the measurement units of the variance are minutes2. To get back to the original measurement units, we take the square root of the variance, \(\sqrt{150.403}\), resulting in the standard deviation of 12.264 minutes.
Now back to the long run, using 10000 simulated values x. The following code shows the “long way” of computing variance and standard deviation. First, find the squared distance between each simulated value and the mean.
(x - x.mean()) ** 2 | Index | Result |
|---|---|
| 0 | 0.815780743131337 |
| 1 | 4.993120143782658 |
| 2 | 15.50348898462622 |
| 3 | 66.31795246690606 |
| 4 | 68.90456692156533 |
| 5 | 7.422451824986115 |
| 6 | 814.7921798336952 |
| 7 | 120.04281945748257 |
| 8 | 8.71283263723231 |
| ... | ... |
| 9999 | 33.76633272692913 |
Then compute the average squared deviation to get the variance.
((x - x.mean()) ** 2).mean()100.53603867646262
Now take the square root of the variance to get the standard deviation.
sqrt(((x - x.mean()) ** 2).mean())10.026766112583989
We see that the standard deviation is about 10—as it should be for values simulated from a Normal(30, 10) distribution—and the variance is about \(10^2 = 100\). Fortunately, var and sd will carry out these calculations more quickly.
x.var()100.53603867646262
x.sd()10.026766112583989
U = RV(Uniform(0, 60))
u = U.sim(10000)
plt.figure()
x.plot()
u.plot()
plt.legend(['Normal(30, 10)', 'Uniform(0, 60)']);
plt.show()
u.sd()17.339948595579052
abs(u - u.mean()).mean()14.98714087463523
Variance and standard deviation are both based on average squared deviations from the mean. Variance has some nice mathematical properties (which we’ll see later), but standard deviation is the more “practical” number since it has the same measurement units as the variable. In computations we often work with variances then take the square root at the end to report and interpret standard deviations.
Standard deviation is the most commonly used single-number measure of variability, but it’s not the only one. Average absolute deviation also measures variability; why not use that? It turns out that squaring deviations, rather than taking absolute values, leads to nicer mathematical properties33. Also, standard deviation is the natural measure of variability for Normal distributions (we’ll investigate why later). While standard deviation is commonly used, there are other, sometimes better, ways to summarize variability. For example, we will see later how percentiles can be used to summarize the pattern of variability.
The following definiton states our notion of variance in expected value terms.
Definition 3.1 (Variance and standard deviation of a random varible) The variance of a random variable \(X\) is \[ \textrm{Var}(X) = \textrm{E}((X-\textrm{E}(X))^2) \] The standard deviation of a random variable \(X\) is \(\textrm{SD}(X) = \sqrt{\textrm{Var}(X)}\).
Recall that an expected value is a long run average. Thefore we can interpret \(\textrm{E}(\cdot)\) as “simulate many values of what’s inside \((\cdot)\) and average”. In this way \[ \textrm{E}((X-\textrm{E}(X))^2) = \text{Long Run Average of } [(X - \text{Long Run Average of } X)^2] \]
Recall that for discrete random variables we can compute expected values as probability-weighted average values. We can compute variances for discrete random variables in a similar way.
| \(y\) | \(y - \textrm{E}(Y)\) | \((y - \textrm{E}(Y))^2\) | \(\textrm{P}(Y=y)\) | \((y - \textrm{E}(Y))^2\textrm{P}(Y=y)\) |
|---|---|---|---|---|
| 1 | -2.125 | 4.5156 | 0.0625 | 0.2822 |
| 2 | -1.125 | 1.2656 | 0.1875 | 0.2373 |
| 3 | -0.125 | 0.0156 | 0.3125 | 0.0049 |
| 4 | 0.875 | 0.7656 | 0.4375 | 0.3350 |
P = BoxModel([1, 2, 3, 4], size = 2)
Y = RV(P, max)
y = Y.sim(10000)
y| Index | Result |
|---|---|
| 0 | 4 |
| 1 | 4 |
| 2 | 2 |
| 3 | 3 |
| 4 | 4 |
| 5 | 4 |
| 6 | 2 |
| 7 | 4 |
| 8 | 2 |
| ... | ... |
| 9999 | 4 |
y.mean()3.1071
y - y.mean()| Index | Result |
|---|---|
| 0 | 0.8929 |
| 1 | 0.8929 |
| 2 | -1.1071 |
| 3 | -0.10709999999999997 |
| 4 | 0.8929 |
| 5 | 0.8929 |
| 6 | -1.1071 |
| 7 | 0.8929 |
| 8 | -1.1071 |
| ... | ... |
| 9999 | 0.8929 |
(y - y.mean()) ** 2| Index | Result |
|---|---|
| 0 | 0.7972704100000001 |
| 1 | 0.7972704100000001 |
| 2 | 1.22567041 |
| 3 | 0.011470409999999993 |
| 4 | 0.7972704100000001 |
| 5 | 0.7972704100000001 |
| 6 | 1.22567041 |
| 7 | 0.7972704100000001 |
| 8 | 1.22567041 |
| ... | ... |
| 9999 | 0.7972704100000001 |
((y - y.mean()) ** 2).mean()0.87162959
y.var()0.87162959
y.sd()0.9336110485635868
(y ** 2)| Index | Result |
|---|---|
| 0 | 16 |
| 1 | 16 |
| 2 | 4 |
| 3 | 9 |
| 4 | 16 |
| 5 | 16 |
| 6 | 4 |
| 7 | 16 |
| 8 | 4 |
| ... | ... |
| 9999 | 16 |
(y ** 2).mean()10.5257
(y ** 2).mean() - (y.mean()) ** 20.8716295900000013
Example 3.18 illustrates an alternative formula for computing variance. Definition 3.1 represents the concept of variance. However, variance is usually computed using the following equivalent but slightly simpler formula.
Lemma 3.1 \[ \textrm{Var}(X) = \textrm{E}(X^2) - (\textrm{E}(X))^2 \]
That is, the variance of \(X\) is the expected value of the square of \(X\) minus the square of the expected value of \(X\).
We will see that variance has many nice theoretical properties. Whenever you need to compute a standard deviation, first find the variance and then take the square root at the end.
We will see how to compute variance for continuous random variables later. But Definition 3.1 and Lemma 3.1 apply for both discrete and continuous random variables. Furthermore, variance can be approximated via simulation in the same way for discrete or continuous random variables: simulate many values of the random variable and compute the average of the squared deviations from the mean.
3.8.1 Standardization
Standard deviation provides a “ruler” by which we can judge a particular value of a random variable relative to the distribution of values. This idea is particularly useful when comparing random variables with different measurement units but whose distributions have similar shapes.
Standard deviation provides a “ruler” by which we can judge a particular value of a random variable relative to the distribution of values. Consider the plot for SAT scores in Figure 3.29. For now, pay attention to the two horizontal axis scales on each plot; we’ll discuss the Normal “bell shape” in more detail later. There are two scales on the variable axis: one representing the actual measurement units, and one representing “standardized units”. In the standardized scale, values are measured in terms of standard deviations away from the mean:
- The mean corresponds to a value of 0.
- A one unit increment on the standardized scale corresponds to an increment equal to the standard deviation in the measurement unit scale.
For example, each one unit increment in the standardized scale corresponds to a 200 point increment in the measurement unit scale for SAT scores, and a 5.5 point increment in the measurement unit scale for ACT scores. An SAT score of 1250 is “1 standard deviation above the mean”; an ACT score of 10 is “2 standard deviations below the mean”. Given a specific distribution, the more standard deviations a particular value is away from its mean, the more extreme or “unusual” it is.
Given a value of a variable, its standardized value marks where the value lies on the standardized scale (e.g., 1500 on the SAT scale corresponds to 2.25 on the standardized scale).
\[ \text{Standardized value} = \frac{\text{Value - Mean}}{\text{Standard deviation}} \]
Any random variable can be standardized, but keep in mind that just how extreme any particular standardized value is depends on the shape of the distribution. We will see that standardization is most natural for random variables that follow a Normal distribution.
3.8.2 Normal distributions (briefly)
Standardization is most natural for random variables that follow a Normal distribution. The Normal(30, 10) model that we assumed for arrival times in the meeting problem is an example of a Normal distribution. The pattern of variability for any Normal distribution follows a particular bell shape, like in Figure 3.29. A Normal distribution has two parameters: its mean (typically denoted \(\mu\)) and its standard deviation (typically denoted \(\sigma\)). For Normal distributions the probability that a value is within (or beyond) a given number of standard deviations from the mean follows a specific pattern called the “empirical rule”. For example, the empirical rule for Normal distributions specifies that
- 68% of values are within 1 standard deviation of the mean
- 95% of values are within 2 standard deviations of the mean
- 99.7% of values are within 3 standard deviations of the mean
Therefore the key to working with Normal distributions is to work in terms of standardized values. The “standard” Normal distribution is a Normal(0, 1) distribution, with a mean 0 and a standard deviation of 1. Notice how the empirical rule corresponds to the spinner in Figure 3.31.
If a random variable follows a Normal distribution, a value of it can be simulated by spinning the standard Normal spinner in Figure 3.31 to determine how many standard deviations the value is away from the mean (above or below) and then converting to the measurement units of the variable.
We have only introduced a small part of the empirical rule in this section, corresponding to 1, 2, or 3 standard deviations away from the mean. We will cover Normal distributions and the empirical rule in much more detail later.
3.8.3 Exercises
Exercise 3.21 The latest series of collectible Lego Minifigures contains 3 different Minifigure prizes (labeled 1, 2, 3). Each package contains a single unknown prize. Suppose we only buy 3 packages and we consider as our sample space outcome the results of just these 3 packages (prize in package 1, prize in package 2, prize in package 3). For example, 323 (or (3, 2, 3)) represents prize 3 in the first package, prize 2 in the second package, prize 3 in the third package. Let \(X\) be the number of distinct prizes obtained in these 3 packages. Let \(Y\) be the number of these 3 packages that contain prize 1.
- Explain how you could, in principle, conduct a simulation by hand and use the results to approximate
- \(\textrm{Var}(X)\)
- \(\textrm{SD}(X)\)
- Write Symbulate code to conduct a simulation and approximate the values in part 1.
- Compute the theoretical values of \(\textrm{Var}(X)\) and \(\textrm{SD}(X)\) and compare to the simulation results.
Exercise 3.22 Consider a continuous version of the dice rolling problem where instead of rolling two fair four-sided dice (which return values 1, 2, 3, 4) we spin twice a Uniform(1, 4) spinner (which returns any value in the continuous range between 1 and 4). Let \(X\) be the sum of the two spins and let \(Y\) be the larger of the two spins.
- Use simulation to approximate the marginal distributions of \(X\) and \(Y\).
- Which will have the larger standard deviation, \(X\) or \(Y\)? Make a ballpark estimate the of the standard deviation of each.
- Describe in words how you could use simulation to approximate
- \(\textrm{Var}(X)\) and \(\textrm{SD}(X)\)
- \(\textrm{E}(Y)\) and \(\textrm{SD}(Y)\)
- Write Symbulate code to conduct a simulation to approximate the quantities in the previous part.
3.9 Measuring relationships: Covariance and correlation
Quantities like expected value, variance, and standard deviation summarize characteristics of the marginal distribution of a single random variable. When there are multiple random variables their joint distribution is of interest. Covariance and correlation each summarize in a single number a characteristic of the joint distribution of two random variables, namely, the degree to which they “co-deviate from the their respective means”.
3.9.1 Covariance
Consider the independent Uniform(0, 60) model of arrival times in the meeting problem from Section 3.4.1. Let \(R\) and \(Y\) be the two arrival times, and let \(T=\min(R, Y)\) and \(W=|R-Y|\) be the first arrival time and waiting time random variables, respectively. Our goal is to compute the covariance between \(T\) and \(W\).
We’ll illustrate the calculation using the simulation results from Table 3.3. The simulated \((T, W)\) pairs are displayed in Table 3.14. The mean of the 10 simulated values of \(T\) is 22.6, and the mean of the 10 simulated values of \(W\) is 20.7. We want to measure the degree to which \(T\) and \(W\) “co-deviate from the their respective means”. For each value of \(T\) we find its deviation from the mean, and likewise for \(W\); see the “T_deviation” and “W_deviation” columns of Table 3.14. Notice that we do care about the sign since we are interested in the relationship between \(T\) and \(W\), which involves questions like: if \(T\) is above the mean, does \(W\) tend to be above or below the mean? For each simulated \((T, W)\) pair, we now have a pair of deviations from the respective mean.
We want to measure the degree of co-deviation between \(X\) and \(Y\); one way to do this is to measure the interaction between the paired deviations by taking their product. See the “product_of_deviations” column of Table 3.14. Within each row, the value in the product column is the product of the values in the “T_devation” and “W_deviation” columns. The covariance is the average of the product of the deviations: sum the 10 values of the product and divide by 10 to get a covariance of -134.1. \[ \text{Covariance($X$, $Y$)} = \text{Average of} ((X - \text{Average of }X)(Y - \text{Average of }Y)) \]
| repetition | T | W | T_deviation | W_deviation | product_of_deviations |
|---|---|---|---|---|---|
| 1 | 49.505 | 3.244 | 26.917 | -17.458 | -469.925 |
| 2 | 22.041 | 33.344 | -0.547 | 12.643 | -6.912 |
| 3 | 7.524 | 2.433 | -15.064 | -18.269 | 275.198 |
| 4 | 39.636 | 11.695 | 17.049 | -9.007 | -153.555 |
| 5 | 26.338 | 17.435 | 3.751 | -3.267 | -12.254 |
| 6 | 28.619 | 13.894 | 6.032 | -6.808 | -41.063 |
| 7 | 31.155 | 9.963 | 8.567 | -10.739 | -91.999 |
| 8 | 4.406 | 39.610 | -18.181 | 18.908 | -343.770 |
| 9 | 8.867 | 26.600 | -13.721 | 5.898 | -80.928 |
| 10 | 7.784 | 48.801 | -14.803 | 28.099 | -415.960 |
| Sum | 225.877 | 207.018 | 0.000 | 0.000 | -1341.168 |
| Average | 22.588 | 20.702 | 0.000 | 0.000 | -134.117 |
Why take the product of the deviations? For two random variables \(X\) and \(Y\):
- If both \(X\) and \(Y\) values are far above the mean, the product of the deviations will be positive and large in magnitude
- If both \(X\) and \(Y\) values are far below the mean, the product of the devations will be positive and large in magnitude
- If the \(X\) value is far above the mean but the \(Y\) value is far below the mean, the product of the deviations will be negative and large in magnitude
- If the \(X\) value is far below the mean but the \(Y\) value is far above the mean, the product of the deviations will be negative and large in magnitude
- If the \(X\) value is close to its mean, the product of the deviations will be close to 0 regardless of the \(Y\) value
- If the \(Y\) value is close to its mean, the product of the deviations will be close to 0 regardless of the \(X\) value
So the average of the products of the deviations gives insight to the overall relationship between \(T\) and \(W\); is the association:
- positive: above average values of \(X\) tend to be associated with above average values of \(Y\), and below average values of \(X\) tend to be associated with below average values of \(Y\)
- negative: above average values of \(X\) tend to be associated with below average values of \(Y\), and below average values of \(X\) tend to be associated with above average values of \(Y\)
- zero: no overall positive or negative association between \(X\) and \(Y\).
Figure 3.32 visualizes the covariance calculation. The ten \((T, W)\) pairs from Table 3.14 are displayed in each plot. The green “+” represents the two means. Figure 3.32 (a) highlights the first row of Table 3.14. The horizontal orange segment represents the deviation of the \(T\) value from the mean of the \(T\) values, and the vertical blue segment represents the deviation of the \(W\) value from the mean of the \(W\) values. If we think of these deviations as the sides of the shaded rectangle, the area of the rectangle represents the magnitude of the product of the deviations. For this pair the product would be negative since the value of \(T\) is above the mean but the value of \(W\) is below the mean. Figure 3.32 (b) displays ten rectangles, one for each \((T, W)\) pair. The rectangles are shaded grey if the product of the deviations is negative, and yellow if positive. The covariance is the average of the ten areas, keeping in mind that the areas can represent either positive (yellow) or negative (gray) values. There is more gray area than yellow area, so the covariance is negative.
Table 3.14 and Figure 3.32 motivate the idea and calculation of covariance, but we’re really interested in what happens in the long run. We’ll start by simulating many \((T, W)\) pairs.
R, Y = RV(Uniform(0, 60) ** 2)
T = (R & Y).apply(min)
W = abs(R - Y)
meeting_sim = (R & Y & T & W).sim(10000)
t_and_w = meeting_sim[2, 3]
t_and_w| Index | Result |
|---|---|
| 0 | (21.333678740669104, 11.572778593030375) |
| 1 | (29.08298936668968, 1.4772167189851615) |
| 2 | (38.58468574670532, 16.662853627398647) |
| 3 | (7.755215577100216, 7.879322529642598) |
| 4 | (36.38391197683561, 7.702761765755163) |
| 5 | (16.94747418896801, 40.07014199132131) |
| 6 | (36.58802654389735, 8.002460291471053) |
| 7 | (40.07423800075149, 1.5375954717523257) |
| 8 | (31.43391163677623, 18.58407716464439) |
| ... | ... |
| 9999 | (8.125497025029205, 29.20230095039969) |
t_and_w.plot()
The simulated long run averages are (notice that calling mean returns the pair of averages)
t_and_w.mean()(20.101705959948582, 19.86039753779092)
Now within each simulated \((t, w)\) pair, we subtract the mean of the \(T\) values from \(t\) and the mean of the \(W\) values from \(w\), We can do this subtraction in a “vectorized” way: the following code subtracts the first component of t_and_w.mean() (the average of the \(T\)) from the first component of each of the t_and_w values (the individual \(t\) value), and similarly for the second.
t_and_w - t_and_w.mean()| Index | Result |
|---|---|
| 0 | (1.2319727807205219, -8.287618944760546) |
| 1 | (8.981283406741099, -18.38318081880576) |
| 2 | (18.482979786756736, -3.197543910392273) |
| 3 | (-12.346490382848366, -11.981075008148322) |
| 4 | (16.28220601688703, -12.157635772035757) |
| 5 | (-3.154231770980573, 20.209744453530387) |
| 6 | (16.486320583948768, -11.857937246319867) |
| 7 | (19.97253204080291, -18.322802066038594) |
| 8 | (11.332205676827648, -1.276320373146529) |
| ... | ... |
| 9999 | (-11.976208934919377, 9.341903412608769) |
For each simulated pair, we now have a pair of deviations from the respective mean. To measure the interaction between these deviations, we take the product of the deviations within each pair. First, we split the paired deviations into two separate columns and then take the product within each row.
t_deviations = (t_and_w - t_and_w.mean())[0] # first column (Python 0)
w_deviations = (t_and_w - t_and_w.mean())[1] # second column (Python 1)
t_deviations * w_deviations| Index | Result |
|---|---|
| 0 | -10.210120956928726 |
| 1 | -165.1045568510614 |
| 2 | -59.100139463047476 |
| 3 | 147.92422736428816 |
| 4 | -197.95313031856162 |
| 5 | -63.74621803872397 |
| 6 | -195.493754907176 |
| 7 | -365.9527513412456 |
| 8 | -14.463524978021876 |
| ... | ... |
| 9999 | -111.88058711923895 |
Now we take the average of the products of the paired deviations.
(t_deviations * w_deviations).mean()-98.72920358193242
This value is the covariance, which we could have arrived at more quickly by calling cov on the simulated \((T, W)\) pairs.
t_and_w.cov()np.float64(-98.72920358193244)
The covariance between \(T\) and \(W\) is negative because the two variables have an overall negative association. The largest values of \(T\) (near 60) are associated with the smallest values of \(W\) (near 0) and vice versa. Since both people need to arrive in the 0 to 60 time interval, if the first person arrives very late then they won’t have to wait very long. Note that the association isn’t perfect; the smallest values of \(T\) (near 0) are associated with the whole range of waiting times (from 0 to 60). But the overall tendency is a negative association.
# independent Uniform(0, 60)
meeting_sim[0, 1].cov()np.float64(-1.0595951347503059)
# independent Normal(30, 10)
R, Y = RV(Normal(30, 10) ** 2)
(R & Y).sim(10000).cov()np.float64(-0.5854995801936713)
# Bivariate Normal model
R, Y = RV(BivariateNormal(mean1 = 30, mean2 = 30, sd1 = 10, sd2 = 10, corr = 0.7))
(R & Y).sim(10000).cov()np.float64(70.36460439821379)
The following definiton states our notion of covariance in expected value terms.
Definition 3.2 (Covariance between two random variables) The covariance between two random variables \(X\) and \(Y\) is \[ \textrm{Cov}(X, Y) = \textrm{E}((X-\textrm{E}(X))(Y-\textrm{E}(Y))) \]
Recall that an expected value is a long run average. Thefore we can interpret \(\textrm{E}(\cdot)\) as “simulate many values of what’s inside \((\cdot)\) and average”. In this way \[ \textrm{E}((X-\textrm{E}(X))(Y-\textrm{E}(Y))) = \text{Long Run Average of} ((X - \text{Long Run Average of }X)(Y - \text{Long Run Average of }Y)) \] where the average is over many \((X, Y)\) pairs.
Unfortunately, the actual value of covariance is hard to interpret as it depends heavily on the measurement unit scale of the random variables. In the meeting problem, if \(T\) and \(W\) are both measured in minutes then the covariance is measured in minutes \(\times\) minutes, e.g., -100 \(\text{minutes}^2\). If we converted the \(T\) values from minutes to seconds, then the value of covariance would change accordingly and would be measured in minutes \(\times\) seconds, e.g., -6000 minutes \(\times\) seconds. In another context, if the covariance between height (m) and weight (kg) is 0.3 \(\text{m}\times\text{kg}\), then the covariance between height (cm) and weight (g) is 300,000 \(\text{cm}\times\text{g}\).
But the sign of the covariance does have an intuitive meaning.
- A positive covariance indicate an overall positive association: above average values of \(X\) tend to be associated with above average values of \(Y\)
- A negative covariance indicates am overall negative association: above average values of \(X\) tend to be associated with below average values of \(Y\)
- A covariance of zero indicates that the random variables are uncorrelated: there is no overall positive or negative association. But be careful: if \(X\) and \(Y\) are uncorrelated there can still be a relationship between \(X\) and \(Y\). We will see examples later that demonstrate that being uncorrelated does not necessarily imply that random variables are independent.
We discussed how variance has many nice theoretical properties, but standard deviation is easier to interpret. Similarly, covariance has many nice theoretical properties, but correlation is easier to interpret. We will introduce correlation in the next subsection.
Recall that for discrete random variables we can compute expected values as probability-weighted average values. We can compute covariances for discrete random variables in a similar way.
| \(x\) | \(y\) | \(x - \textrm{E}(X)\) | \(y - \textrm{E}(Y)\) | \((x - \textrm{E}(X))(y - \textrm{E}(Y))\) | \(\textrm{P}(X=x, Y=y)\) | \((x - \textrm{E}(X))(y - \textrm{E}(Y))\textrm{P}(X=x,Y=y)\) |
|---|---|---|---|---|---|---|
| 2 | 1 | -3 | -2.125 | 6.375 | 0.0625 | 0.3984 |
| 3 | 2 | -2 | -1.125 | 2.250 | 0.1250 | 0.2812 |
| 4 | 2 | -1 | -1.125 | 1.125 | 0.0625 | 0.0703 |
| 4 | 3 | -1 | -0.125 | 0.125 | 0.1250 | 0.0156 |
| 5 | 3 | 0 | -0.125 | 0.000 | 0.1250 | 0.0000 |
| 5 | 4 | 0 | 0.875 | 0.000 | 0.1250 | 0.0000 |
| 6 | 3 | 1 | -0.125 | -0.125 | 0.0625 | -0.0078 |
| 6 | 4 | 1 | 0.875 | 0.875 | 0.1250 | 0.1094 |
| 7 | 4 | 2 | 0.875 | 1.750 | 0.1250 | 0.2188 |
| 8 | 4 | 3 | 0.875 | 2.625 | 0.0625 | 0.1641 |
P = BoxModel([1, 2, 3, 4], size = 2)
X = RV(P, sum)
Y = RV(P, max)
x_and_y = (X & Y).sim(10000)
x_and_y| Index | Result |
|---|---|
| 0 | (7, 4) |
| 1 | (2, 1) |
| 2 | (6, 4) |
| 3 | (5, 4) |
| 4 | (7, 4) |
| 5 | (4, 3) |
| 6 | (4, 3) |
| 7 | (6, 4) |
| 8 | (5, 4) |
| ... | ... |
| 9999 | (8, 4) |
x_and_y.mean()(5.0058, 3.1262)
x_and_y - x_and_y.mean()| Index | Result |
|---|---|
| 0 | (1.9942000000000002, 0.8738000000000001) |
| 1 | (-3.0058, -2.1262) |
| 2 | (0.9942000000000002, 0.8738000000000001) |
| 3 | (-0.005799999999999805, 0.8738000000000001) |
| 4 | (1.9942000000000002, 0.8738000000000001) |
| 5 | (-1.0057999999999998, -0.12619999999999987) |
| 6 | (-1.0057999999999998, -0.12619999999999987) |
| 7 | (0.9942000000000002, 0.8738000000000001) |
| 8 | (-0.005799999999999805, 0.8738000000000001) |
| ... | ... |
| 9999 | (2.9942, 0.8738000000000001) |
x_deviations = (x_and_y - x_and_y.mean())[0] # first column (Python 0)
y_deviations = (x_and_y - x_and_y.mean())[1] # second column (Python 1)
x_deviations * y_deviations| Index | Result |
|---|---|
| 0 | 1.7425319600000004 |
| 1 | 6.390931959999999 |
| 2 | 0.8687319600000003 |
| 3 | -0.00506803999999983 |
| 4 | 1.7425319600000004 |
| 5 | 0.12693195999999984 |
| 6 | 0.12693195999999984 |
| 7 | 0.8687319600000003 |
| 8 | -0.00506803999999983 |
| ... | ... |
| 9999 | 2.6163319600000006 |
(x_deviations * y_deviations).mean()1.26146804
x_and_y.cov()np.float64(1.2614680400000005)
x_and_y[0] * x_and_y[1]| Index | Result |
|---|---|
| 0 | 28 |
| 1 | 2 |
| 2 | 24 |
| 3 | 20 |
| 4 | 28 |
| 5 | 12 |
| 6 | 12 |
| 7 | 24 |
| 8 | 20 |
| ... | ... |
| 9999 | 32 |
(x_and_y[0] * x_and_y[1]).mean()16.9106
(x_and_y[0] * x_and_y[1]).mean() - x_and_y[0].mean() * x_and_y[1].mean()1.2614680400000005
Example 3.22 illustrates an alternative formula for computing covariance. Definition 3.2 represents the concept of covariance. However, covariance is usually computed using the following equivalent but slightly simpler formula.
Lemma 3.2 \[ \textrm{Cov}(X, Y) = \textrm{E}(XY) - \textrm{E}(X)\textrm{E}(Y) \]
That is, the covariance of \(X\) and \(Y\) is the expected value of the product minus the product of the expected values.
We will see how to compute covariance for continuous random variables later. But Definition 3.2 and Lemma 3.2 apply for both discrete and continuous random variables. Furthermore, covariance can be approximated via simulation in the same way for discrete or continuous random variables: simulate many pairs of the random variables and compute the average of the products of the paired deviations from the respective means.
3.9.2 Correlation
The numerical value of the covariance depends on the measurement units of both variables, so interpreting it can be difficult. Covariance is a measure of joint association between two random variables that has many nice theoretical properties, but the correlation (coefficient) is often a more practical measure.
Recall that we can standardize a random variable to put in on a standard measurement scale in which values are measured in terms of standard deviations above or below the mean. It is useful to standardize random variables when measuring their co-deviation, measuring the deviations in standard deviation terms rather than measurement units. The correlation between two random variables is the covariance between the corresponding standardized random variables. Therefore, correlation is a standardized measure of the association between two random variables.
Definition 3.3 (Correlation between two random variables) The correlation (a.k.a. correlation coefficient) between two random variables \(X\) and \(Y\) is \[ \textrm{Corr}(X, Y) = \textrm{Cov}\left(\frac{X-\textrm{E}(X)}{\textrm{SD}(X)}\frac{Y-\textrm{E}(Y)}{\textrm{SD}(Y)}\right) \]
Returning to the \((T, W)\) example, we carry out the same process of computing the covariance, but first standardize each of the simulated values of \(T\) by subtracting their mean and dividing by their standardization, and similarly for \(W\). Then we compute the product for each pair of standardized values and average the products to get the correlation -0.619.
| repetition | T | W | T_standardized | W_standardized | product_of_standardized_values |
|---|---|---|---|---|---|
| 1 | 49.5051230443642 | 3.24384813196957 | 1.8556242823391 | -1.16810402389761 | -2.16756219104242 |
| 2 | 22.0409069862217 | 33.3443601010367 | -0.0376913487046098 | 0.845904484956141 | -0.0318832809132752 |
| 3 | 7.52413982525468 | 2.4326638597995 | -1.03844163845964 | -1.2223799122306 | 1.26937019887689 |
| 4 | 39.6361792786047 | 11.6948688682169 | 1.17528352715253 | -0.602650928322604 | -0.708285708680737 |
| 5 | 26.3384757656604 | 17.4347750935704 | 0.258572492519595 | -0.218596996291003 | -0.0565231701882613 |
| 6 | 28.6194127053022 | 13.8940830063075 | 0.41581468549195 | -0.455502733917882 | -0.189404726044788 |
| 7 | 31.1545571219176 | 9.96297138277441 | 0.590581317853482 | -0.718531225499212 | -0.424351118074202 |
| 8 | 4.406319251284 | 39.6096999244764 | -1.25337653465298 | 1.26511488670064 | -1.58566531263075 |
| 9 | 8.86708207894117 | 26.6001215111464 | -0.945862496382148 | 0.394651233192934 | -0.373285800628161 |
| 10 | 7.78433695435524 | 48.8009335566312 | -1.02050428715728 | 1.88009521530919 | -1.91864522748692 |
| Sum | 225.876533011906 | 207.018325435929 | 1.52655665885959e-16 | 5.55111512312578e-17 | -6.18623633681262 |
| Average | 22.5876533011906 | 20.7018325435929 | 1.52764086103208e-17 | 5.52943107967607e-18 | -0.618623633681262 |
| SD | 14.5058835451554 | 14.9455733859826 | 1 | 1 | NA |
Now we repeat the same calculation for many (previously) simulated \((T, W)\) pairs.
t_and_w = meeting_sim[2, 3]
t_and_w| Index | Result |
|---|---|
| 0 | (21.333678740669104, 11.572778593030375) |
| 1 | (29.08298936668968, 1.4772167189851615) |
| 2 | (38.58468574670532, 16.662853627398647) |
| 3 | (7.755215577100216, 7.879322529642598) |
| 4 | (36.38391197683561, 7.702761765755163) |
| 5 | (16.94747418896801, 40.07014199132131) |
| 6 | (36.58802654389735, 8.002460291471053) |
| 7 | (40.07423800075149, 1.5375954717523257) |
| 8 | (31.43391163677623, 18.58407716464439) |
| ... | ... |
| 9999 | (8.125497025029205, 29.20230095039969) |
Compute the means
t_and_w.mean()(20.101705959948582, 19.86039753779092)
Compute the standard deviations
t_and_w.sd()(14.009765869276556, 14.022716366805975)
We’ll use the standardize method to standardize the simulated values. Note that values are standardized using the respective means and standard deviations.
t_and_w.standardize()| Index | Result |
|---|---|
| 0 | (0.08793671444732995, -0.5910138041712569) |
| 1 | (0.641073055077749, -1.31095718817516) |
| 2 | (1.3192925534387372, -0.22802599915387106) |
| 3 | (-0.8812774244803222, -0.8544047169426784) |
| 4 | (1.1622040060351002, -0.866995769864877) |
| 5 | (-0.22514521658765257, 1.4412146637558827) |
| 6 | (1.1767734548728828, -0.8456234110524771) |
| 7 | (1.4256149765216786, -1.306651406671222) |
| 8 | (0.8088790192903365, -0.0910180552583795) |
| ... | ... |
| 9999 | (-0.854847186360425, 0.6661978441439889) |
Now we compute the covariance of the standardized values to get the correlation.
t_and_w.standardize().cov()np.float64(-0.5025538524109374)
We can also just call corr on the simulated \((T, W)\) pairs.
t_and_w.corr()np.float64(-0.5025538524109379)
When standardizing, subtracting the means doesn’t change the scale of the possible pairs of values or how far away they are from their means; it merely shifts the center of the joint distribution. Dividing by the standard deviations does change the scale. It can be shown that correlation is the covariance divided by the product of the standard deviations.
Lemma 3.3 \[ \textrm{Corr}(X, Y) = \frac{\textrm{Cov}(X, Y)}{\textrm{SD}(X)\textrm{SD}(Y)} \]
The simulated values provide an example of this property.
t_and_w.cov() / (t_and_w.sd()[0] * (t_and_w.sd()[1]))np.float64(-0.5025538524109376)
Definition 3.3 reflects the concept of correlation, but Lemma 3.3 is usually how we compute correlation. The hard work is in computing the covariance and the standard deviations; once we have those it’s just a matter of dividing to get the correlation.
x_and_y.sd()(1.5869361549854413, 0.9345980740403467)
x_and_y.cov()np.float64(1.2614680400000005)
x_and_y.corr()np.float64(0.850534462722398)
A correlation coefficient has no units and is measured on a universal scale. Regardless of the original measurement units of the random variables \(X\) and \(Y\) \[ -1\le \textrm{Correlation}(X,Y)\le 1 \]
- \(\textrm{Correlation}(X,Y) = 1\) if and only if \(Y=mX+b\) for some \(m>0\)
- \(\textrm{Correlation}(X,Y) = -1\) if and only if \(Y=mX+b\) for some \(m<0\)
Therefore, correlation is a standardized measure of the strength of the linear association between two random variables. The closer the correlation is to 1 or \(-1\), the closer the joint distribution of \((X, Y)\) pairs hugs a straight line, with positive or negative slope.
Because correlation is computed between standardized random variables, correlation is not affected by a linear rescaling of either variable. A value that is “one standard deviation above the mean” is “one standard deviation above the mean”, whether the variable measured in feet or inches or meters.
In some problems we are given the correlation and the standard deviations and we need to compute the covariance
\[ \textrm{Cov}(X, Y) = \textrm{Corr}(X, Y)\textrm{SD}(X)\textrm{SD}(Y) \]
3.9.3 Bivariate Normal distributions (briefly)
Just as Normal distributions are commonly assumed for marginal distributions of individual random variables, joint Normal distributions are often assumed for joint distributions of several random variables. We’ll focus “Bivariate Normal” distributions which describe a specific pattern of joint variability for two random variables.
In the previous problem, what we really need is a spinner that generates a pair of scores simultaneously to reflect their association. This is a little harder to visualize, but we could imagine spinning a “globe” with lines of latitude corresponding to SAT Math score and lines of longitutde to SAT Reading score. But this would not be a typical globe:
- The lines of latitude would not be equally spaced, since SAT Math scores are not equally likely. (We have seen similar issues for one-dimensional Normal spinners.) Similarly for lines of longitude.
- The scale of the lines of latitude would not necessarily match the scale of the lines of longitude, since Math and Reading scores could follow difference distributions. For example, the equator (average Math) might be 500 while the prime meridian (average Reading) might be 520.
- The “lines” would be tilted or squiggled to reflect the relationship between the scores. For example, the region corresponding to Math scores near 700 and Reading scores near 700 would be larger than the region corresponding to Math scores near 700 but Reading scores near 200.
So we would like a model that
- Simulates Math scores that follow a Normal distribution pattern, with some mean and some standard deviation.
- Simulates Reading scores that follow a Normal distribution pattern, with possibly a different mean and standard deviation.
- Reflects how strongly the scores are associated.
Such a model is called a “Bivariate Normal” distribution. There are five parameters: the two means, the two standard deviations, and the correlation which reflects the strength of the association between the two scores.
Recall that in Section 3.4.3 we assumed that Regina and Cady tend to arrive around the same time. One way to model pairs of values that have correlation is with a Bivariate Normal distribution, like in the following. We assumed a Bivariate Normal distribution for the \((R, Y)\) pairs, with mean (30, 30), standard deviation (10, 10) and correlation 0.7. (We could have assumed different means and standard deviations.)
R, Y = RV(BivariateNormal(mean1 = 30, sd1 = 10, mean2 = 30, sd2 = 10, corr = 0.7))
(R & Y).sim(1000).plot()
Now we see that the points tend to follow the \(R = Y\) line, so that Regina and Cady tend to arrive near the same time.
Simulated values of a random variable with a Normal distribution follow a “bell-shaped” curve. Similarly, simulated pairs of values of two random variables with a Bivariate Normal distribution follow a “mound-shaped” or “fin-shaped” surface.
Figure 3.33 display a few Bivariate Normal distributions with different correlations. Notice how the correlation changes the shape of the distribution.
We will cover Bivariate Normal distributions in much more detail later.
3.9.5 Exercises
Exercise 3.23 The latest series of collectible Lego Minifigures contains 3 different Minifigure prizes (labeled 1, 2, 3). Each package contains a single unknown prize. Suppose we only buy 3 packages and we consider as our sample space outcome the results of just these 3 packages (prize in package 1, prize in package 2, prize in package 3). For example, 323 (or (3, 2, 3)) represents prize 3 in the first package, prize 2 in the second package, prize 3 in the third package. Let \(X\) be the number of distinct prizes obtained in these 3 packages. Let \(Y\) be the number of these 3 packages that contain prize 1.
- Explain how you could, in principle, conduct a simulation by hand and use the results to approximate \(\textrm{Cov}(X, Y)\).
- Write Symbulate code to conduct a simulation and approximate the covariance and correlation.
- Compute \(\textrm{Cov}(X, Y)\) and \(\textrm{Corr}(X, Y)\).
- Are \(X\) and \(Y\) independent? Explain your reasoning.
Exercise 3.24 Xavier and Yolanda are playing roulette. They both place bets on red on the same 3 spins of the roulette wheel before Xavier has to leave. (Remember, the probability that any bet on red on a single spin wins is 18/38.) After Xavier leaves, Yolanda places bets on red on 2 more spins of the wheel. Let \(X\) be the number of bets that Xavier wins and let \(Y\) be the number that Yolanda wins.
- Find the marginal distribution of \(X\).
- Compute \(\text{E}(X)\).
- Compute \(\textrm{Var}(X)\).
- The joint distribution of \(X\) and \(Y\) is represented in the table below. Explain why \(\textrm{P}(X=1, Y = 4) = 0\) and \(\textrm{P}(X = 2, Y = 1) = 0\).
- Compute \(\textrm{P}(X = 2, Y = 3)\). (Yes, the table tells you it’s 0.1766, but show how this number can be computed based on the assumptions of the problem.)
- Are \(X\) and \(Y\) independent? Justify your answer with an appropriate calculation.
- Compute and interpret \(\text{P}(X + Y = 4)\).
- Make a table representing the marginal distribution of \(X+Y\).
- Use the table from the previous part to compute \(\text{E}(X+Y)\), and verify that it is equal to \(\text{E}(X)+\text{E}(Y)\). (It can be shown that \(\textrm{E}(Y) = 5(18/38) = 2.37\))
- Compute \(\textrm{Cov}(X, Y)\). Interpret the sign of the covariance in context.
- Compute \(\textrm{Corr}(X, Y)\). (It can be shown that \(\textrm{Var}(Y) = 5(18/38)(20/38) = 1.25\))
| \(x\), \(y\) | 0 | 1 | 2 | 3 | 4 | 5 |
|---|---|---|---|---|---|---|
| 0 | 0.0404 | 0.0727 | 0.0327 | 0 | 0 | 0 |
| 1 | 0 | 0.109 | 0.1963 | 0.0883 | 0 | 0 |
| 2 | 0 | 0 | 0.0981 | 0.1766 | 0.0795 | 0 |
| 3 | 0 | 0 | 0 | 0.0294 | 0.053 | 0.0238 |
3.10 Conditioning
We can implement conditioning in simulations by only considering repetitions that satisfy the condition. Conditioning can be thought of as taking a subset of, or “filtering”, the simulation results.
3.10.1 Using simulation to approximate conditional probabilities
Conditional probabilities can be approximated using simulated relative frequencies in a similar way to unconditional probabilities, but the presence of conditioning requires more care.
The conditional probability of event \(A\) given event \(B\) can be approximated by simulating—according to the assumptions encoded in the probability measure \(\textrm{P}\)—the random phenomenon a large number of times and computing the relative frequency of \(A\) among repetitions on which \(B\) occurs.
\[ {\small \textrm{P}(A|B) \approx \frac{\text{number of repetitions on which $A$ and $B$ occur}}{\text{number of repetitions on which $B$ occurs}}, \quad \text{for a large number of repetitions simulated according to $\textrm{P}$} } \] When using simulation to approximate \(\textrm{P}(A|B)\), we first use \(B\) to determine which repetitions to keep, then we find the relative frequency of \(A\).
Remember that the margin of error when approximating a probability based on a simulated relative frequency depends on the number of independently simulated repetitions used to calculate the relative frequency. When approximating \(\textrm{P}(A|B)\) as above, the margin of error is determined by the number of independently simulated repetitions on which \(B\) occurs.
There are two basic ways to use simulation35 to approximate a conditional probability \(\textrm{P}(A|B)\).
- Simulate the random phenomenon for a set number of repetitions (say 10000), discard those repetitions on which \(B\) does not occur, and compute the relative frequency of \(A\) among the remaining repetitions (on which \(B\) does occur).
- Disadvantage: the margin of error is based on only the number of repetitions used to compute the relative frequency. So if you perform 10000 repetitions but \(B\) occurs only on 1000, then the margin of error for estimating \(\textrm{P}(A|B)\) is roughly on the order of \(1/\sqrt{1000} = 0.032\) (rather than \(1/\sqrt{10000} = 0.01\)). Especially if \(\textrm{P}(B)\) is small, the margin of error could be large resulting in an imprecise estimate of \(\textrm{P}(A|B)\).
- Advantage: not computationally intensive.
- Simulate the random phenomenon until obtaining a certain number of repetitions (say 10000) on which \(B\) occurs, discarding those repetitions on which \(B\) does not occur as you go, and compute the relative frequency of \(A\) among the remaining repetitions (on which \(B\) does occur).
- Advantage: the margin of error will be based on the set number of repetitions on which \(B\) occurs.
- Disadvantage: requires more time/computer power. Especially if \(\textrm{P}(B)\) is small, it will require a large number of repetitions of the simulation to achieve the desired number of repetitions on which \(B\) occurs. For example, if \(\textrm{P}(B)=0.1\), then it will require roughly 100,000 repetitions in total to obtain 10,000 on which \(B\) occurs.
3.10.2 Conditioning in Symbulate
In Symulate, filter can be used to extract repetitions that satisfy a condition. First we’ll simulate age and Snapchat use for 10000 hypothetical adults. Each ticket in the BoxModel has a (age, Snapchat) pair of labels, like the spinner in Figure 3.34.
P = BoxModel([('Age 18-29', 'Snapchat user'), ('Age 18-29', 'Not Snapchat user'), ('Not Age 18-29', 'Snapchat user'), ('Not Age 18-29', 'Not Snapchat user')],
probs = [0.13, 0.07, 0.11, 0.69])
sim_all = P.sim(10000)
sim_all| Index | Result |
|---|---|
| 0 | ('Age 18-29', 'Snapchat user') |
| 1 | ('Not Age 18-29', 'Not Snapchat user') |
| 2 | ('Not Age 18-29', 'Not Snapchat user') |
| 3 | ('Not Age 18-29', 'Not Snapchat user') |
| 4 | ('Age 18-29', 'Snapchat user') |
| 5 | ('Not Age 18-29', 'Not Snapchat user') |
| 6 | ('Not Age 18-29', 'Not Snapchat user') |
| 7 | ('Not Age 18-29', 'Not Snapchat user') |
| 8 | ('Age 18-29', 'Not Snapchat user') |
| ... | ... |
| 9999 | ('Not Age 18-29', 'Not Snapchat user') |
sim_all.tabulate()| Outcome | Frequency |
|---|---|
| ('Age 18-29', 'Not Snapchat user') | 697 |
| ('Age 18-29', 'Snapchat user') | 1286 |
| ('Not Age 18-29', 'Not Snapchat user') | 6900 |
| ('Not Age 18-29', 'Snapchat user') | 1117 |
| Total | 10000 |
Now we’ll apply filter to retain only those age 18-29. The function is_Age18 takes as an input36 a (age, Snapchat) pair and returns True if age 18-29 (and False otherwise). Applying filter(is_Age18) will only return results for which is_Age18 returns True.
def is_Age18(Age_Snapchat):
return Age_Snapchat[0] == 'Age 18-29'
sim_given_Age18 = sim_all.filter(is_Age18)
sim_given_Age18| Index | Result |
|---|---|
| 0 | ('Age 18-29', 'Snapchat user') |
| 1 | ('Age 18-29', 'Snapchat user') |
| 2 | ('Age 18-29', 'Not Snapchat user') |
| 3 | ('Age 18-29', 'Not Snapchat user') |
| 4 | ('Age 18-29', 'Snapchat user') |
| 5 | ('Age 18-29', 'Snapchat user') |
| 6 | ('Age 18-29', 'Not Snapchat user') |
| 7 | ('Age 18-29', 'Snapchat user') |
| 8 | ('Age 18-29', 'Not Snapchat user') |
| ... | ... |
| 1982 | ('Age 18-29', 'Snapchat user') |
sim_given_Age18.tabulate()| Outcome | Frequency |
|---|---|
| ('Age 18-29', 'Not Snapchat user') | 697 |
| ('Age 18-29', 'Snapchat user') | 1286 |
| Total | 1983 |
Conditional relative frequencies are computed based only on repetitions which satisfy the event being conditioned on.
sim_given_Age18.tabulate(normalize = True)| Outcome | Relative Frequency |
|---|---|
| ('Age 18-29', 'Not Snapchat user') | 0.35148764498234997 |
| ('Age 18-29', 'Snapchat user') | 0.64851235501765 |
| Total | 1.0 |
Based on these results, we would estimate \(\textrm{P}(C |A)\) to be around the true value of 0.65 with a margin of error of roughly \(1/\sqrt{2000} = 0.022\).
In Symbulate, the “given” symbol | applies the second method to simulate a fixed number of repetitions that satisfy the event being conditioned on. Be careful when using | when conditioning on an event with small probability. In particular, be careful when conditioning on the value of a continuous random variable (which we’ll discuss in more detail soon).
Below we use RV syntax to carry out the simulation and conditioning37. Technically, a random variable always returns a number, but RV in Symbulate does allow for non-numerical outputs. In most situations, we will usually deal with true random variables, and the code syntax below will be more natural.
The following code simulates (Age, Snapchat) pairs until 10000 adults age 18-29 are obtained.
Age, Snapchat = RV(P)
sim_given_Age18 = ( (Age & Snapchat) | (Age == 'Age 18-29') ).sim(10000)
sim_given_Age18| Index | Result |
|---|---|
| 0 | (Age 18-29, Not Snapchat user) |
| 1 | (Age 18-29, Not Snapchat user) |
| 2 | (Age 18-29, Not Snapchat user) |
| 3 | (Age 18-29, Not Snapchat user) |
| 4 | (Age 18-29, Snapchat user) |
| 5 | (Age 18-29, Snapchat user) |
| 6 | (Age 18-29, Snapchat user) |
| 7 | (Age 18-29, Not Snapchat user) |
| 8 | (Age 18-29, Not Snapchat user) |
| ... | ... |
| 9999 | (Age 18-29, Snapchat user) |
sim_given_Age18.tabulate()| Value | Frequency |
|---|---|
| (Age 18-29, Not Snapchat user) | 3499 |
| (Age 18-29, Snapchat user) | 6501 |
| Total | 10000 |
Since all 10000 simulated pairs satisfy the event being conditioned on (age 18-29), they are all included in the computation of the conditional relative frequencies.
sim_given_Age18.tabulate(normalize = True)| Value | Relative Frequency |
|---|---|
| (Age 18-29, Not Snapchat user) | 0.3499 |
| (Age 18-29, Snapchat user) | 0.6501 |
| Total | 1.0 |
Based on these results, we would estimate \(\textrm{P}(C |A)\) to be around the true value of 0.65 with a margin of error of roughly \(1/\sqrt{10000} = 0.01\). We have obtained a more precise estimate, but the simulation takes longer to run.
3.10.3 Using conditional probabilities to simulate
In Example 3.27 we directly simulated pairs of events using joint probabilities, and used the results to approximate conditional probabilities. But in many problems conditional probabilities are provided or can be determined directly.
A two-stage simulation like the one above basically implements the multiplication rule, joint = conditional \(\times\) marginal. We first simulate age based on marginal probabilities, then use conditional probabilities to simulate Snapchat use, resulting in (age, Snapchat) pairs with the appropriate joint relationship.
In Symbulate, we can code the scenario in Example 3.28 by defining a custom probability space. An outcome is a (Age, Snapchat) pair. Each of the 5 spinners corresponds to a BoxModel. We define a function that defines how to simulate one repetition in two stages, using the draw method38. Then we use that function to define a custom ProbabilitySpace.
def Age_Snapchat_sim():
Age = BoxModel(['18-29', '30-49', '50-64', '65+'], probs = [0.20, 0.33, 0.25, 0.22]).draw()
if Age == '18-29':
Snapchat = BoxModel(['Use', 'NotUse'], probs = [0.65, 0.35]).draw()
if Age == '30-49':
Snapchat = BoxModel(['Use', 'NotUse'], probs = [0.24, 0.76]).draw()
if Age == '50-64':
Snapchat = BoxModel(['Use', 'NotUse'], probs = [0.12, 0.88]).draw()
if Age == '65+':
Snapchat = BoxModel(['Use', 'NotUse'], probs = [0.02, 0.98]).draw()
return Age, Snapchat
P = ProbabilitySpace(Age_Snapchat_sim)
P.sim(10)| Index | Result |
|---|---|
| 0 | ('18-29', 'NotUse') |
| 1 | ('30-49', 'Use') |
| 2 | ('30-49', 'NotUse') |
| 3 | ('18-29', 'Use') |
| 4 | ('65+', 'NotUse') |
| 5 | ('18-29', 'NotUse') |
| 6 | ('50-64', 'NotUse') |
| 7 | ('18-29', 'Use') |
| 8 | ('18-29', 'Use') |
| ... | ... |
| 9 | ('50-64', 'NotUse') |
Once we have simulated pairs, we can proceed as in Section 3.10.1. For example, the following approximates conditional probabilities of age group given that the adult uses Snapchat, based on 10000 repetitions which satisfy the condition; compare to part 7 of Example 2.46.
Age, Snapchat = RV(P)
sim_given_Snapchat = ( Age | (Snapchat == 'Use') ).sim(10000)
sim_given_Snapchat.tabulate(normalize = True)| Value | Relative Frequency |
|---|---|
| 18-29 | 0.5379 |
| 30-49 | 0.3235 |
| 50-64 | 0.1221 |
| 65+ | 0.0165 |
| Total | 1.0 |
3.10.4 Conditioning on values of random variables
If \(X\) is a discrete random variable, we can condition on it equalling the value \(x\) by conditioning on the event \(\{X = x\}\).
To approximate a conditional probability of an event involving a random variable \(X\) given the value of a random variable \(Y\), we first need to simulate \((X, Y)\) pairs. The variable being conditioned on (\(Y\) here) determines which pairs to keep, and the other variable determines what to find the relative frequency of.
Here is some code for conditioning on \(\{Y = 4\}\).
P = DiscreteUniform(1, 4) ** 2
X = RV(P, sum)
Y = RV(P, max)
( (X & Y) | (Y == 4) ).sim(10)| Index | Result |
|---|---|
| 0 | (7, 4) |
| 1 | (8, 4) |
| 2 | (8, 4) |
| 3 | (5, 4) |
| 4 | (7, 4) |
| 5 | (5, 4) |
| 6 | (5, 4) |
| 7 | (7, 4) |
| 8 | (5, 4) |
| ... | ... |
| 9 | (8, 4) |
(X | (Y == 4) ).sim(10000).tabulate()| Value | Frequency |
|---|---|
| 5 | 2846 |
| 6 | 2922 |
| 7 | 2814 |
| 8 | 1418 |
| Total | 10000 |
(X | (Y == 4) ).sim(10000).tabulate(normalize = True)| Value | Relative Frequency |
|---|---|
| 5 | 0.2883 |
| 6 | 0.2812 |
| 7 | 0.2866 |
| 8 | 0.1439 |
| Total | 1.0 |
Below we simulate values of \(X\) given \(Y=y\) for each of the values \(y = 2, 3, 4\). (We omit conditioning on \(Y=1\) since then \(X = 2\) with probability 1.) Each of the three simulations below approximates a separate conditional distribution of \(X\) values.
x_given_Y_eq4 = (X | (Y == 4) ).sim(10000)
x_given_Y_eq3 = (X | (Y == 3) ).sim(10000)
x_given_Y_eq2 = (X | (Y == 2) ).sim(10000)We plot the three distributions on a single plot to compare how the distribution of \(X\) changes depending on the given value of \(Y\).
x_given_Y_eq4.plot()
x_given_Y_eq3.plot(jitter = True) # shifts the spikes a little
x_given_Y_eq2.plot(jitter = True) # so they don't overlap
Extra care is required when conditioning on the value of a continuous random variable. We’ll consider the Bivariate Normal model of the meeting problem from Section 3.4.
# Donny's code - don't try to run this!
R, Y = RV(BivariateNormal(mean1 = 30, sd1 = 10, mean2 = 30, sd2 = 10, corr = 0.7))
y_given_Req40 = (Y | (R == 40) ).sim(10000)
y_given_Req40.count_lt(40) / 10000R, Y = RV(BivariateNormal(mean1 = 30, sd1 = 10, mean2 = 30, sd2 = 10, corr = 0.7))
y_given_Req40 = (Y | (abs(R - 40) < 0.5) ).sim(1000)
y_given_Req40.count_lt(40) / 10000.654
The event \(\{|X-x|<\epsilon\}\) will have non-zero probability, but the probability might be small. Conditioning on low probability events introduces some computational challenges. Remember that the margin of error in using a relative frequency to approximate a probability is based on the number of independently simulated repetitions used to compute the relative frequency. When approximating a conditional probability with a conditional relative frequency, the margin of error is based only on the number of repetitions that satisfy the condition. Naively discarding repetitions that do not satisfy the condition can be horribly inefficient. For example, when conditioning on an event with probability 0.01 we would need to run about 1,000,000 repetitions to achieve 10,000 that satisfy the condition. There are more sophisticated and efficient methods (e.g., “Markov chain Monte Carlo (MCMC)” methods), but they are beyond the scope of this book. When conditioning on the value of a continuous random variable with | in Symbulate, be aware that you might need to change either the number of repetitions (but try not to go below 1000) or the degree of precision \(\epsilon\) in order for the simulation to run in a reasonable amount of time.
In the Bivariate Normal model of the meeting problem the event \(\{|R - 40| < 0.5\}\) has probability 0.04. Running (Y | (abs(R - 40) < 0.5) ).sim(1000) requires about 25000 repetitions in the background to achieve the 1000 the satisfy the condition. The margin of error for approximating conditional probabilities is roughly \(1/\sqrt{1000} = 0.03\).
R, Y = RV(BivariateNormal(mean1 = 30, sd1 = 10, mean2 = 30, sd2 = 10, corr = 0.7))
( (R & Y) | (abs(R - 40) < 0.5) ).sim(10)| Index | Result |
|---|---|
| 0 | (39.696217935960306, 29.021463953892873) |
| 1 | (39.79766640272294, 33.47739689498418) |
| 2 | (39.82512574204207, 48.90927447122735) |
| 3 | (40.13011281775823, 40.02794636044875) |
| 4 | (40.441165065334076, 26.089893918129583) |
| 5 | (39.586728787258075, 35.12219885340394) |
| 6 | (40.04852404537298, 40.63930821498815) |
| 7 | (40.340031933692686, 34.07977035160372) |
| 8 | (40.29523559218278, 28.977271424889093) |
| ... | ... |
| 9 | (39.54185394658454, 26.89454554764432) |
3.10.5 Conditional averages
TBA
3.10.6 Exercises
Exercise 3.25 The latest series of collectible Lego Minifigures contains 3 different Minifigure prizes (labeled 1, 2, 3). Each package contains a single unknown prize. Suppose we only buy 3 packages and we consider as our sample space outcome the results of just these 3 packages (prize in package 1, prize in package 2, prize in package 3). For example, 323 (or (3, 2, 3)) represents prize 3 in the first package, prize 2 in the second package, prize 3 in the third package. Let \(X\) be the number of distinct prizes obtained in these 3 packages. Let \(Y\) be the number of these 3 packages that contain prize 1.
- Explain how you could, in principle, conduct a simulation by hand and use the results to approximate
- \(\textrm{P}(Y = 0 | X = 1)\)
- The conditional distribution of \(Y\) given \(X=1\)
- \(\textrm{P}(X = 1 | Y = 0)\)
- The conditional distribution of \(X\) given \(Y=0\)
- Write Symbulate code to conduct a simulation and approximate the values in part 1. Each simulation should be based on 10000 repetitions that satisfy the conditioning event.
Exercise 3.26 Write Symbulate code to conduct the simulation in Exercise 3.4. Use conditioning to discard any repetitions where the dart lands off the board. Use the simulation results to approximate:
- The marginal distribution of \(R\) (via plot)
- \(\textrm{P}(R < 1)\)
- \(\textrm{P}(R > 11)\)
- \(\textrm{E}(R)\)
- \(\textrm{SD}(R)\).
Exercise 3.27 Consider a continuous version of the dice rolling problem where instead of rolling two fair four-sided dice (which return values 1, 2, 3, 4) we spin twice a Uniform(1, 4) spinner (which returns any value in the continuous range between 1 and 4). Let \(X\) be the sum of the two spins and let \(Y\) be the larger of the two spins.
- Describe in words how you could use simulation to approximate
- \(\textrm{P}(Y < 2.7 | X = 3.5)\)
- The conditional distribution of \(Y\) given \(X = 3.5\)
- Write Symbulate code to conduct a simulation to approximate the quantities from the previous part.
Hint: be careful! What do we really mean by conditioning on \(X = 3.5\)?
3.11 Independence
For independent events, the multiplication rule simplifies
\[\begin{align*} \text{If $A$ and $B$ are independent then } && \textrm{P}(A \cap B) & = \textrm{P}(A)\textrm{P}(B)\\ \text{If independent then } && \text{Joint} & = \text{Product of Marginals} \end{align*}\]
Similarly, the joint distribution of independent random variables is this product of their marginal distributions. For this reason, independence is represented by the product * syntax in Symbulate.
For example, in the meeting problem, if Regina’s arrival follows a Uniform(0, 60) model, Cady’s follows a Normal(30, 10) model, and they arrive independently of each other, we can simulate pairs of arrivals as follows; note the use of *.
P = Uniform(0, 60) * Normal(30, 10)
P.sim(5)| Index | Result |
|---|---|
| 0 | (53.58860978904647, 51.330985933234594) |
| 1 | (20.796385530547866, 17.063118545209722) |
| 2 | (54.87878043505233, 23.55243324151116) |
| 3 | (54.53010802402967, 5.411783602714628) |
| 4 | (49.70559012140185, 22.421491538455673) |
We can think of * as “spin each spinner independently”, but what * really does is create a joint probability space as the product of two marginal probability spaces.
Note the two uses of * in the code below. In the P = ... line, * means that the two components of the pair will be simulated independently (e.g., “spin the Uniform(0, 60) spinner then spin the Normal(30, 10) spinner”), resulting in random variables R (first component) and Y (second component) that are independent. In (R * Y), * means multiply the values of R and Y.
P = Uniform(0, 60) * Normal(30, 10)
R, Y = RV(P)
(R & Y & (R * Y) ).sim(5)| Index | Result |
|---|---|
| 0 | (39.25570090222384, 20.264451338103925, 795.4952406762774) |
| 1 | (40.980446638854396, 24.064641797170033, 986.1797690520717) |
| 2 | (54.7746130593508, 16.479798417834555, 902.6745816329892) |
| 3 | (18.930492145303898, 25.121425519590865, 475.56094847745175) |
| 4 | (27.173248635804676, 29.389142413870534, 798.5984740051769) |
We could have also coded the following, which we interpret as defining random variables R and Y whose joint distribution is the product of their marginal distributions, Uniform(0, 60) for R and Normal(30, 10) for Y, and thus R and Y are independent.
R, Y = RV(Uniform(0, 60) * Normal(30, 10))
(R & Y & (R * Y) ).sim(5)| Index | Result |
|---|---|
| 0 | (32.010521841803076, 35.57205404485328, 1138.6800129605754) |
| 1 | (41.79316026473473, 23.19780374105788, 969.5095295398949) |
| 2 | (26.065182376890437, 26.592139208953636, 693.1289582730356) |
| 3 | (59.13146318697971, 29.860590174498455, 1765.7003886448433) |
| 4 | (20.384036497977593, 16.19374454631192, 330.0938798709478) |
X = RV(BoxModel([2, 3, 4, 5, 6, 7, 8], probs = [1/16, 2/16, 3/16, 4/16, 3/16, 2/16, 1/16]))
Y = RV(BoxModel([1, 2, 3, 4], probs = [1/16, 3/16, 5/16, 7/16]))
(X & Y).sim(10)X, Y = RV(BoxModel([2, 3, 4, 5, 6, 7, 8], probs = [1/16, 2/16, 3/16, 4/16, 3/16, 2/16, 1/16]) *
BoxModel([1, 2, 3, 4], probs = [1/16, 3/16, 5/16, 7/16]))
(X & Y).sim(10)| Index | Result |
|---|---|
| 0 | (5, 3) |
| 1 | (6, 4) |
| 2 | (7, 3) |
| 3 | (4, 3) |
| 4 | (4, 2) |
| 5 | (4, 3) |
| 6 | (8, 3) |
| 7 | (2, 3) |
| 8 | (5, 2) |
| ... | ... |
| 9 | (3, 3) |
Symbulate does offer a compromise, via the AssumeIndependent command, which allows code like Donny’s in Example 3.31 while also requiring explicit specification of independence The following code would achieve Donny’s goal in Example 3.31.
X = RV(BoxModel([2, 3, 4, 5, 6, 7, 8], probs = [1/16, 2/16, 3/16, 4/16, 3/16, 2/16, 1/16]))
Y = RV(BoxModel([1, 2, 3, 4], probs = [1/16, 3/16, 5/16, 7/16]))
X, Y = AssumeIndependent(X, Y)
(X & Y).sim(10)| Index | Result |
|---|---|
| 0 | (7, 4) |
| 1 | (5, 3) |
| 2 | (8, 3) |
| 3 | (5, 3) |
| 4 | (8, 2) |
| 5 | (4, 3) |
| 6 | (7, 4) |
| 7 | (4, 2) |
| 8 | (5, 3) |
| ... | ... |
| 9 | (5, 4) |
While AssumeIndependent works, we discourage its use for two reasons. First, the code is clunky; in a sense the definition of X and Y with X = RV(...) and Y = RV(...) is incomplete until they are redefined with X, Y = AssumeIndependent(X, Y). More importantly, when dealing with multiple random variables it is their joint distribution that describes fully their probabilitistic behavior. Therefore we encourage you to get in the habit of defining joint distributions (possibly using the “marginal then conditional” construction). In many situations random variables are not independent, so marginal distributions alone are not enough. In the special case of independence, define the joint distribution directly as the product of marginal distributions using * rather than using AssumeIndependent.
3.11.1 Exercises
3.12 Working with Symbulate
In this section we explore a little deeper some aspects of coding simulations with Symbulate.
3.12.1 Two “worlds” in Symbulate
Recall the dice rolling simulation in Section 3.3. Suppose we want to simulate realizations of the event \(A= \{Y < 3\}\). We saw previously that we can define the event (Y < 3) in Symbulate and simulate True/False realizations of it.
P = RV(DiscreteUniform(1, 4) ** 2)
Y = RV(P, max)
A = (Y < 3)
A.sim(10)| Index | Result |
|---|---|
| 0 | False |
| 1 | True |
| 2 | True |
| 3 | False |
| 4 | False |
| 5 | False |
| 6 | False |
| 7 | True |
| 8 | False |
| ... | ... |
| 9 | False |
Since event \(A\) is defined in terms of \(Y\), we can also first simulate values of Y, store the results as y, and then determine whether event \(A\) occurs for the simulated y values using39 (y < 3). (The results won’t match the above because we are making a new call to sim.)
y = Y.sim(10)
y| Index | Result |
|---|---|
| 0 | 1 |
| 1 | 4 |
| 2 | 3 |
| 3 | 4 |
| 4 | 3 |
| 5 | 2 |
| 6 | 2 |
| 7 | 3 |
| 8 | 2 |
| ... | ... |
| 9 | 4 |
(y < 3)| Index | Result |
|---|---|
| 0 | True |
| 1 | False |
| 2 | False |
| 3 | False |
| 4 | False |
| 5 | True |
| 6 | True |
| 7 | False |
| 8 | True |
| ... | ... |
| 9 | False |
These two methods illustrate the two “worlds” of Symbulate, which we call “random variable world” and “simulation world”. Operations like transformations can be performed in either world. Think of random variable world as the “before” world and simulation world as the “after” world, by which we mean before/after the sim step.
Most of the transformations we have seen so far happened in random variable world. For example, we have seen how to define the sum of two dice in random variable world in a few ways, e.g., via
P = BoxModel([1, 2, 3, 4], size = 2)
U = RV(P)
X = U.apply(sum)The sum transformation is applied to define a new random variable X, before the sim step. We could then call, e.g., (U & X).sim(10).
We could also compute simulated values of the sum in simulation world as follows.
P = BoxModel([1, 2, 3, 4], size = 2)
U = RV(P)
u = U.sim(10)
u| Index | Result |
|---|---|
| 0 | (1, 3) |
| 1 | (4, 3) |
| 2 | (4, 1) |
| 3 | (2, 3) |
| 4 | (4, 4) |
| 5 | (1, 2) |
| 6 | (2, 3) |
| 7 | (1, 3) |
| 8 | (3, 2) |
| ... | ... |
| 9 | (4, 3) |
u.apply(sum)| Index | Result |
|---|---|
| 0 | 4 |
| 1 | 7 |
| 2 | 5 |
| 3 | 5 |
| 4 | 8 |
| 5 | 3 |
| 6 | 5 |
| 7 | 4 |
| 8 | 5 |
| ... | ... |
| 9 | 7 |
The above code will simulate all the pairs of rolls first, store them as u (which we can think of as a table), and then apply the sum to the simulated values (which adds a column to the table). That is, the sum transformation happens after the sim step.
While either world is “correct”, we generally take the random variable world approach. We do this mostly for consistency, but also to emphasize some of the probability concepts we’ll encounter. For example, the fact that a sum of random variables (defined on the same probability space) is also a random variable is a little more apparent in random variable world. However, it is sometimes more convenient to code in simulation world; for example, if complicated transformations are required.
X = RV(BoxModel([1, 2, 3, 4], size = 2), sum)
Y = RV(BoxModel([1, 2, 3, 4], size = 2), max)
(X & Y).sim(10)P = BoxModel([1, 2, 3, 4], size = 2)
U1, U2 = RV(P)
u1 = U1.sim(10)
u2 = U2.sim(10)
x = u1 + u2When working in random variable world, it only makes sense to transform or simulate random variables defined on the same probability space. Likewise, in simulation world, it only makes sense to apply transformations to values generated in the same simulation, with all assumptions—including indepedence, if appropriate—clearly defined, via a single sim step.
The “simulation” step should be implemented in a single call to sim, and in that single step you should simulate realizations of all random variables of interest (e.g., with &). Afterwards you can select certain columns of the simulation results using brackets, and manage these columns in simulation world. For example, if we wanted to sum the rolls in simulation world, we could use the following code40 which has a single call to sim and runs without error.
P = BoxModel([1, 2, 3, 4], size = 2)
U1, U2 = RV(P)
u1_and_u2 = (U1 & U2).sim(10)
u1 = u1_and_u2[0]
u2 = u1_and_u2[1]
x = u1 + u2
x| Index | Result |
|---|---|
| 0 | 6 |
| 1 | 5 |
| 2 | 4 |
| 3 | 6 |
| 4 | 4 |
| 5 | 5 |
| 6 | 5 |
| 7 | 2 |
| 8 | 6 |
| ... | ... |
| 9 | 5 |
3.12.2 Brief summary of Symbulate commands
We will see a variety of scenarious throughout the book, but many simulations using Symbulate can be carried out with relatively few commands. The following table comprises the requisite Symbulate commands for a wide variety of situations.
| Command | Function |
|---|---|
BoxModel |
Define a box model |
ProbabilitySpace |
Define a custom probability space |
RV |
Define random variables, vectors, or processes |
RandomProcess |
Define a discrete or continuous time stochastic process |
apply |
Apply transformations |
[] (brackets) |
Access a component of a random vector, or a random process at a particular time |
* (and **) |
Define independent probability spaces or distributions |
AssumeIndependent |
Assume random variables or processes are independent |
| (vertical bar) |
Condition on events |
& |
Join multiple random variables into a random vector |
sim |
Simulate outcomes, events, and random variables, vectors, and processes |
tabulate |
Tabulate simulated values |
plot |
Plot simulated values |
filter (and relatives) |
Create subsets of simulated values (filter_eq, filter_lt, etc) |
count (and relatives) |
Count simulated values which satisfy some critera (count_eq, count_lt, etc) |
| Statistical summaries | mean, median, sd, var, quantile, corr, cov, etc. |
| Common models | Normal, BivariateNormal, and many others we will see |
In addition to Symbulate commands, we can use basic Python commands to
- define functions to define random variables
- define for loops to investigate changing parameters
- customize plots produced by the Symbulate
plotcommand (add axis labels, legends, titles, etc) - summarize results of multiple simulations in tables and Matplotlib plots (e.g., for different values of problem parameters)
The next section and Section 3.13 will provide some examples of how we can use Symbulate together with Python (or R) code.
3.12.3 Working with Symbulate output in Python and R
Symbulate has many built in commands that facilitate the summarization of simulation output in basic plots, tables, and statistics. However, it is also possible to convert Symbulate output into a data frame which can be manipulated using (non-Symbulate) Python or R code. This section provides a brief introduction.
Let’s start with some Symbulate code and output (from the dice rolling simulation in Section 3.3).
P = BoxModel([1, 2, 3, 4], size = 2)
X = RV(P, sum)
Y = RV(P, max)
xy = (X & Y).sim(10000)
xy| Index | Result |
|---|---|
| 0 | (3, 2) |
| 1 | (5, 4) |
| 2 | (3, 2) |
| 3 | (7, 4) |
| 4 | (5, 3) |
| 5 | (5, 4) |
| 6 | (2, 1) |
| 7 | (4, 3) |
| 8 | (7, 4) |
| ... | ... |
| 9999 | (5, 4) |
pandas—commonly nicknamed as pd—is a popular Python package for data science. We can convert the output of a Symbulate sim to a pandas DataFrame.
import pandas as pdxy_df = pd.DataFrame(xy)
xy_df 0 1
0 3 2
1 5 4
2 3 2
3 7 4
4 5 3
... .. ..
9995 7 4
9996 6 4
9997 4 3
9998 8 4
9999 5 4
[10000 rows x 2 columns]
By default the column names are just their index (0, 1, 2,…), but they can be renamed.
xy_df = xy_df.rename(columns={0: "x", 1: "y"})
xy_df x y
0 3 2
1 5 4
2 3 2
3 7 4
4 5 3
... .. ..
9995 7 4
9996 6 4
9997 4 3
9998 8 4
9999 5 4
[10000 rows x 2 columns]
Now we can work with the simulation output as we would any pandas DataFrame. Here are just a few examples
xy_df["y"].value_counts(normalize = True).sort_index()y
1 0.0618
2 0.1845
3 0.3166
4 0.4371
Name: proportion, dtype: float64
xy_df["x"].value_counts().sort_index().plot.bar()
plt.show()
pd.crosstab(xy_df["x"], xy_df["y"])y 1 2 3 4
x
2 618 0 0 0
3 0 1228 0 0
4 0 617 1291 0
5 0 0 1226 1208
6 0 0 649 1241
7 0 0 0 1293
8 0 0 0 629
R is another popular software environment for statistical computing and graphics. Symbulate is a Python package, but there are a number of ways to interface between R and Python. Using an IDE such as Positron, you can toggle between R and Python (as well as other formats). The following provides examples of code cells you can include in a Quarto document that you can edit in Positron and run both Python and R code.
Using Quarto, we can first run a Symbulate simulation and convert the output to a pandas DataFrame (xy_df) using a Python code block.
```{python}
P = BoxModel([1, 2, 3, 4], size = 2)
X = RV(P, sum)
Y = RV(P, max)
xy = (X & Y).sim(10000)
xy_df = pd.DataFrame(xy)
xy_df = xy_df.rename(columns={0: "x", 1: "y"})
```Now we can use the R package reticulate and access xy_df within an R code block (as py$xy_df).
```{r}
library(reticulate)
``````{r}
py$xy_df |> head()
``` x y
1 7 4
2 2 1
3 2 1
4 6 4
5 6 3
6 2 1
Now we have an R data frame that we can manipulate using commands from R packages. For example, we can use the R package ggplot2 to create visualizations of Symbulate output.
```{r}
library(ggplot2)
``````{r}
xy_df = py$xy_df
N = nrow(xy_df)
ggplot(xy_df,
aes(x = factor(x), y = factor(y))) +
stat_bin_2d(aes(fill = after_stat(count / N))) +
labs(x = "Sum of the two rolls",
y = "Larger of the two rolls",
fill = "Proportion of pairs",
title = "10000 pairs of rolls of a fair four-sided die")
```
3.13 Case Study: Matching Problem
Dice rolling provides a simple scenario for us to introduce ideas, but it’s not very exciting. Now we’ll apply ideas from this chapter to investigate a more interesting problem: the matching problem. We’ll also see how we can combine Symbulate and Python code. Our analysis will illustrate sensitity analysis, where we see how probabilities, distributions, and expected values change as we vary parameters or assumptions.
Consider the matching problem for a general \(n\): objects labeled \(1, 2, 3, \ldots, n\) are placed at random in spots labeled \(1, 2, 3, \ldots, n\) with spot 1 the correct spot for object 1, etc. Let the random variable \(X\) count the number of objects (out of \(n\)) that are put back in the correct spot; \(X\) is the number of “matches”. Let \(\textrm{P}\) denote the probability measure corresponding to the assumption that the objects are equally likely to be placed in any spot, so that the \(n!\) possible placements are equally.
We have previously considered the case \(n=4\) (Example 2.2, Example 2.22, Exercise 2.15). By enumerating the \(4! = 24\) possible outcomes (see Table 2.2 and Table 2.9) we found the distribution of \(X\) when \(n=4\), displayed in Table 3.17 and Figure 3.36. When \(n=4\) the probability of at least one match is 0.625, and the expected value of \(X\) is 1.
| x | P(X=x) |
|---|---|
| 0 | 0.3750 |
| 1 | 0.3333 |
| 2 | 0.2500 |
| 4 | 0.0417 |
When \(n=4\) we could enumerate the \(4!=24\) possible outcomes, but such a strategy is not feasible for a general \(n\). For example, if \(n=60\) then there are \(60! \approx 10^{82}\) possible outcomes, which is about the total number of atoms in the observable universe. Therefore we need other strategies to investigate the problem.
We’ll use simulation to perform a sensitivity analysis to investigate how the distribution of \(X\), the probability of at least one match, and the expected value of \(X\) depend on \(n\).
We’ll start by coding a simulation for \(n=4\) so we can compare our simulation results to the analytical results to check that our simulation process is working correctly. Since Python uses zero-based indexing, we label the objects \(0, 1, \ldots, n-1\).
n = 4
labels = list(range(n)) # list of labels [0, ..., n-1]
labels[0, 1, 2, 3]
Now we define the box model and simulate a few outcomes. Note that replace = False.
P = BoxModel(labels, size = n, replace = False)
P.sim(5)| Index | Result |
|---|---|
| 0 | (2, 3, 0, 1) |
| 1 | (2, 1, 0, 3) |
| 2 | (0, 3, 1, 2) |
| 3 | (3, 2, 1, 0) |
| 4 | (0, 3, 1, 2) |
We simulate many outcomes to check that they are roughly equally likely.
P.sim(24000).tabulate()| Outcome | Frequency |
|---|---|
| (0, 1, 2, 3) | 1000 |
| (0, 1, 3, 2) | 913 |
| (0, 2, 1, 3) | 987 |
| (0, 2, 3, 1) | 1036 |
| (0, 3, 1, 2) | 1036 |
| (0, 3, 2, 1) | 1013 |
| (1, 0, 2, 3) | 990 |
| (1, 0, 3, 2) | 989 |
| (1, 2, 0, 3) | 992 |
| (1, 2, 3, 0) | 985 |
| (1, 3, 0, 2) | 1040 |
| (1, 3, 2, 0) | 1003 |
| (2, 0, 1, 3) | 1013 |
| (2, 0, 3, 1) | 989 |
| (2, 1, 0, 3) | 979 |
| (2, 1, 3, 0) | 993 |
| (2, 3, 0, 1) | 1020 |
| (2, 3, 1, 0) | 1010 |
| (3, 0, 1, 2) | 973 |
| ... | ... |
| (3, 2, 1, 0) | 1060 |
| Total | 24000 |
Remember that a random variable \(X\) is a function whose inputs are the sample space outcomes. In this example the function “counts matches”, so would like to define \(X\) as X = RV(P, count_matches). Unfortunately, such a function isn’t built in like sum or max, but we can write a custom count_matches Python function. The count_matches function below starts a counter at 0 and then goes spot-by-spot through each spot in the outcome and increments the counter by 1 any time there is a match (along the lines of the discussion in Section 2.3.4). Don’t worry too much about the Python syntax yet. What’s important is that we have defined a function that we can use to define a random variable.
def count_matches(outcome):
count = 0
for i in range(0, n, 1):
if outcome[i] == labels[i]:
count += 1
return count
outcome = (1, 0, 2, 3) # an example outcome, with 2 matches
count_matches(outcome) # the function evaluated for the example outcome2
Now we can use the function count_matches to define a Symbulate RV just like we have used sum or max.
X = RV(P, count_matches)
X((1, 0, 2, 3)) # evaluate X for the sample outcomeWarning: Calling an RV as a function simply applies the function that defines the RV to the input, regardless of whether that input is a possible outcome in the underlying probability space.
2
We can simulate many values of \(X\) and use the simulated values to approximate the distribution of \(X\), the probability of at least one match, and the expected value of \(X\).
x = X.sim(10000)
x.tabulate(normalize = True)| Value | Relative Frequency |
|---|---|
| 0 | 0.3752 |
| 1 | 0.3374 |
| 2 | 0.2447 |
| 4 | 0.0427 |
| Total | 1.0 |
x.plot()
plt.show()
x.count_geq(1) / x.count()0.6248
x.sum() / x.count()0.9976
The simulated distribution of \(X\) is close to the true distribution in Table 3.17 when \(n=4\); the simulated relative frequencies are within the margin of error (about 0.01-0.02 for 10000 simulated values) of the true probabilities. We also see that the average of the simulated \(X\) values is around the theoretical expected value of 1.
It appears that our simulation is working properly for \(n=4\). To investigate a different value of \(n\), we simply need to revise the line n = 4. Because we want to investigate many values of \(n\), we wrap all the above code in a Python function matching_sim which takes n as an input41 and outputs our objects of interest: a plot of the distribution of simulated \(X\) values, the approximation of \(\textrm{P}(X \ge 1)\), and the approximation of \(\textrm{E}(X)\).
def matching_sim(n):
labels = list(range(n))
def count_matches(omega):
count = 0
for i in range(0, n, 1):
if omega[i] == labels[i]:
count += 1
return count
P = BoxModel(labels, size = n, replace = False)
X = RV(P, count_matches)
x = X.sim(10000)
plt.figure()
x.plot('impulse')
plt.show()
return x.count_geq(1) / x.count(), x.sum() / x.count()For example, for \(n=4\) we simply call
matching_sim(4)(0.6262, 1.0127)

Now we can easily investigate different values of \(n\). For example, for \(n=10\) we see that the approximate probability of at least one match is around 0.63 and the approximate expected value of the number of matches is around 1.
matching_sim(10)(0.6315, 0.9973)

We can use a for loop to automate the process of changing the value of \(n\), running the simulation, and recording the results. If ns is the list of \(n\) values of interest we basically just need to run
for n in ns:
matching_sim(n)In Python we can also use list comprehension
[matching_sim(n) for n in ns]The table below summarizes the simulation results for \(n=4, \ldots, 10\). The first line defines the values of \(n\), and the second line implements the for loop. We have used the Python package tabulate to add a little formatting to the table. (Don’t confuse this with the Symbulate tabulate method!) Note that we have temporarily redefined matching_sim to remove the lines that produced the plot, but we have not displayed the revised code here. (We will bring the plot back soon.)
from tabulate import tabulate ns = list(range(4, 11, 1))
results = [matching_sim(n) for n in ns]
print(tabulate({'n': ns,
'Approximate P(X >= 1), Approximate E(X)': results},
headers = 'keys', floatfmt=".3f")) n Approximate P(X >= 1), Approximate E(X)
--- -----------------------------------------
4 (0.6118, 0.9617)
5 (0.6288, 0.9966)
6 (0.6347, 1.0059)
7 (0.6434, 1.0333)
8 (0.6323, 0.9958)
9 (0.6291, 1.0003)
10 (0.6281, 0.9985)
Stop and look at the table; what do you notice? How do the probability of at least one match and the expected value of the number of matches depend on \(n\)? They don’t! Well, maybe they do, but they don’t appear to change very much with \(n\) after we take into account simulation margin of error42 of about 0.01-0.02. It appears that regardless of the value of \(n\), the probability of at least one match is around 0.63 and the expected value of the number of matches is around 1.
If we’re interested in more values of \(n\), we just repeat the same process with a longer list of ns. The code below uses the Python package Matplotlib to create a plot of the probability of at least one match and the expected value of the number of matches versus \(n\). While there is some natural simulation variability, we see that the probability of at least one match (about 0.63) and the expected value of the number of matches (about 1) essentially do not depend on \(n\)!
from matplotlib import pyplot as pltns = list(range(4, 101, 1))
results = [matching_sim(n) for n in ns]
plt.figure()
plt.plot(ns, results)
plt.legend(['Approximate E(X)', 'Approximate P(X >= 1)'])
plt.xlabel('n')
plt.ylabel('value')
plt.show()
What about the distribution of \(X\)? This Colab notebook contains code for investigating how the distribution of \(X\) depends on \(n\). The basic simulation code is identical to what we have already seen. The notebook adds a few lines to create a Jupyter widget, which produces an interactive plot (with some additional formatting) of the distribution; you can change the slider to see how the distribution of \(X\) changes with \(n\). Take a few minutes to play with the slider; what do you see?
You should see that unless \(n\) is really small (like 5 or less) the distribution of \(X\) is basically the same for any value of \(n\)! We will see soon that the number of matches follows, approximately, a “Poisson(1)” distribution, regardless of the value of \(n\) (unless \(n\) is really small). In particular, the probability of 0 matches is approximately equal to 0.37, and also approximately equal to the probability of exactly 1 match.
| x | P(X=x) |
|---|---|
| 0 | 0.3679 |
| 1 | 0.3679 |
| 2 | 0.1839 |
| 3 | 0.0613 |
| 4 | 0.0153 |
| 5 | 0.0031 |
| 6 | 0.0005 |
| 7 | 0.0001 |
Summarizing, our sensitivity analysis43 of the matching problem reveals that, unless \(n\) is really small,
- the probability of at least one match does is approximately 0.632
- the expected value—that is, long run average— of the number of matches is approximately 1
- the distribution of the number of matches is approximately the “Poisson(1)” distribution.
We will investigate these observations further later. For now, marvel at the fact that no matter if there are 10 or 100 or 1000 people in you next Secret Santa gift exchange, it’s roughly 2 to 1 odds in favor of somebody drawing their own name!
3.13.1 Exercises
Exercise 3.28 Katniss throws a dart at a circular dartboard with radius 12 inches. Suppose that the dartboard is on a coordinate plane, with the center of the dartboard at (0, 0) and the north, south, east, and west edges, respectively, at coordinates (0, 12), (0,-12), (12, 0), (-12, 0). When the dart hits the board its \((X, Y)\) coordinates are recorded.
Assume that \(X\) and \(Y\) each follow a Normal(0, \(\sigma\)), independently. Note that it is possible for the dart to land off the board. Let \(R\) be the distance (inches) from the location of the dart to the center of the dartboard.
Combine Symbulate and Python code to perform a sensivity analysis of how the following depend on \(\sigma\) (for say values of \(\sigma<5\)):
- \(\textrm{P}(R < 1)\)
- \(\textrm{P}(R > 12)\)
- \(\textrm{E}(R)\)
3.14 Simulating from distributions
The distribution of a random variable specifies the long run pattern of variation of values of the random variable over many repetitions of the underlying random phenomenon, or the relative degree of likelihood of possible values. The distribution of a random variable \(X\) can be approximated by
- simulating an outcome of the underlying random phenomenon \(\omega\) according to the assumptions encoded in the probability measure \(\textrm{P}\)
- observing the value of the random variable for that outcome \(X(\omega)\)
- repeating this process many times
- then computing relative frequencies involving the simulated values of the random variable to approximate probabilities of events involving the random variable, e.g., \(\textrm{P}(X\le x)\).
We have carried out this process for several examples, including the dice rolling example in Section 3.1 and Section 3.3, where each repetition involved simulating a pair of rolls (outcome \(\omega\)) and then finding the sum (\(X(\omega)\)) and max (\(Y(\omega)\)).
Now we’ll discuss another method for simulating values of a random variable.
In principle, there are always two ways of simulating a value \(x\) of a random variable \(X\).
- Simulate from the probability space. Simulate an outcome \(\omega\) from the underlying probability space and set \(x = X(\omega)\).
- Simulate from the distribution. Simulate a value \(x\) directly from the distribution of \(X\).
The “simulate from the distribution” method corresponds to constructing a spinner representing the distribution of \(X\) and spinning it once to generate \(x\).
In many problems we often assume or identify distributions directly, without any mention of the underlying sample space or probability measure. Recall the brown bag analogy in Section 2.3.2. The probability space corresponds to the random selection of fruits to put in the bag. The random variable is weight. The distribution of weight can be obtained by randomly selecting fruits to put in the bag, weighing the bag, and then repeating this process many times to observe many weights. For example, maybe 10% of bags have weights less than 5 pounds, 75% of bags have weights less than 20 pounds, etc. We can observe the distribution of weights even if we don’t observe the actual fruits in the bag or fully specify the random phenomenon and its sample space.
We can define a BoxModel corresponding to each of the spinners in Figure 3.38, and then define a random variable with that distribution via RV(BoxModel(...)). Essentially, we define the random variable by specifying its distribution (spinner), rather than specifying the underlying probability space. Note that the default size argument in BoxModel is size = 1, so we have omitted it.
X = RV(BoxModel([2, 3, 4, 5, 6, 7, 8], probs = [1 / 16, 2 / 16, 3 / 16, 4 / 16, 3 / 16, 2 / 16, 1 / 16]))
x = X.sim(10000)x.tabulate(normalize = True)| Value | Relative Frequency |
|---|---|
| 2 | 0.0628 |
| 3 | 0.13 |
| 4 | 0.1813 |
| 5 | 0.2583 |
| 6 | 0.1877 |
| 7 | 0.1183 |
| 8 | 0.0616 |
| Total | 1.0 |
x.plot()
Similarly we can define \(Y\) as
Y = RV(BoxModel([1, 2, 3, 4], probs = [1 / 16, 3 / 16, 5 / 16, 7 / 16]))To simulate \((X, Y)\) pairs we need to specify the joint distribution.
xy_pairs = [(2, 1), (3, 2), (4, 2), (4, 3), (5, 3), (5, 4), (6, 3), (6, 4), (7, 4), (8, 4)]
pxy = [1/16, 2/16, 1/16, 2/16, 2/16, 2/16, 1/16, 2/16, 2/16, 1/16]
X, Y = RV(BoxModel(xy_pairs, probs = pxy, size = 1))
(X & Y).sim(10000).tabulate(normalize = True)| Value | Relative Frequency |
|---|---|
| (2, 1) | 0.0628 |
| (3, 2) | 0.1247 |
| (4, 2) | 0.0616 |
| (4, 3) | 0.1219 |
| (5, 3) | 0.1182 |
| (5, 4) | 0.1288 |
| (6, 3) | 0.0647 |
| (6, 4) | 0.1267 |
| (7, 4) | 0.1262 |
| (8, 4) | 0.0644 |
| Total | 1.0 |
BoxModel with the probs option can be used to define general discrete distributions (when there are finitely many possible values). Many commonly encountered distributions have special names, and in Symbulate we can define a random variable to have a specific named distribution through code of the form RV(Distribution(parameters)); for example X = RV(Uniform(0, 60)) or X = RV(Normal(30, 10)). Think of code like X = RV(Normal(30, 10)) as “\(X\) is a random variable with a Normal(30, 10) distributon”.
3.15 Do not confuse a random variable with its distribution
We close this chapter with a warning.
A random variable measures a numerical quantity which depends on the outcome of a random phenomenon. The distribution of a random variable specifies the long run pattern of variation of values of the random variable over many repetitions of the underlying random phenomenon44. The distribution of a random variable can be approximated by simulating an outcome of the random process, observing the value of the random variable for that outcome, repeating this process many times, and summarizing the results. But a random variable is not its distribution.
Recall the brown bag analogy in Section 2.3.2. The probability space corresponds to the random selection of fruits to put in the bag. The random variable is weight. The distribution of weight can be obtained by randomly selecting fruits to put in the bag, weighing the bag, and then repeating this process many times to observe many weights, summarize the values, and describe the pattern of variability (e.g., 10% of bags have weights less than 5 pounds, 75% of bags have weights less than 20 pounds, etc). But the random variable is like the scale itself.
A distribution is determined by:
- The underlying probability measure \(\textrm{P}\), which represents all the assumptions about the random phenomenon.
- The random variable \(X\) itself, that is, the function which maps sample space outcomes to numbers.
Changing either the probability measure or the random variable itself can change the distribution of the random variable. For example, consider the sample space of two rolls of a fair four-sided die. In each of the following scenarios, the random variable \(X\) has a different distribution.
- The die is fair and \(X\) is the sum of the two rolls
- The die is fair and \(X\) is the larger of the two rolls
- The die is weighted to land on 1 with probability 0.1 and 4 with probability 0.4 and \(X\) is the sum of the two rolls.
In particular,
- \(X\) takes the value 2 with probability \(1/16\)
- \(X\) takes the value 2 with probability \(3/16\)
- \(X\) takes the value 2 with probability 0.01.
In (1) and (2), the probability measure is the same (fair die) but the function defining the random variable is different (sum versus max). In (1) and (3), the function defining the random variable is the same, and the sample space of outcomes is the same, but the probability measure is different.
We often specify the distribution of a random variable directly without explicit mention of the underlying probability space or function defining the random variable. For example, in the meeting problem we might assume that arrival times follow a Uniform(0, 60) or a Normal(30, 10) distribution. In situations like this, you can think of the probability space as being the distribution of the random variable and the function defining the random variable to be the identity function. In other words, we construct a spinner to represent the distribution of the random variable and spin it to simulate a value of the random variable.
In some cases of the meeting time problem we assumed the distribution of Regina’s arrival time \(R\) is Uniform(0, 60) and the distribution of Cady’s arrival time \(Y\) is Uniform(0, 60), in which case \(R\) and \(Y\) have the same distribution. But these are two random variables; one measures Regina’s arrival time and one measure Cady’s. If Regina and Cady met every day for a year, then the day-to-day pattern of Regina’s arrival times would look like the day-to-day pattern of Cady’s arrival times. But on any given day, their arrival times would not be the same, since \(R\) and \(Y\) are continuous random variables so \(\textrm{P}(R = Y) = 0\).
A distribution, like a spinner, is a blueprint for simulating values of the random variable. If two random variables have the same distribution, you could use the same spinner to simulate values of either random variable. But a distribution is not the random variable itself.
Two random variables can have the same (long run) distribution, even if the values of the two random variables are never equal on any particular repetition (outcome). If \(X\) and \(Y\) have the same distribution, then the spinner used to simulate \(X\) values can also be used to simulate \(Y\) values; in the long run the patterns would be the same.
At the other extreme, two random variables \(X\) and \(Y\) are the same random variable only if for every outcome of the random phenomenon the resulting values of \(X\) and \(Y\) are the same. That is, \(X\) and \(Y\) are the same random variable only if they are the same function: \(X(\omega)=Y(\omega)\) for all \(\omega\in\Omega\). It is possible to have two random variables for which \(\textrm{P}(X=Y)\) is large, but \(X\) and \(Y\) have different distributions.
Many commonly encountered distributions have special names. For example, the common distribution in Example 3.41 is called the “Binomial(3, 0.5)” distribution. If a random variable has a Binomial(3, 0.5) distribution then it takes the possible values 0, 1, 2, 3, with respective probability 1/8, 3/8, 3/8, 1/8. (We will study Binomial distributions in more detail later.)
Example 3.41 illustrates that knowledge that a random variable has a specific distribution (e.g., Binomial(3, 0.5)) does not necessarily convey any information about the underlying outcomes or random variable (function) being measured.
The scenarios involving \(W, X, Y, Z\) in Example 3.41 illustrate that two random variables do not have to be defined on the same sample space in order to determine if they have the same distribution. This is in contrast to computing quantities like \(\textrm{P}(X=Y)\): \(\{X=Y\}\) is an event which cannot be investigated unless \(X\) and \(Y\) are defined for the same outcomes. For example, you could not estimate the probability that a student has the same score on both SAT Math and Reading exams unless you measured pairs of scores for each student in a sample. However, you could collect SAT Math scores for one set of students to estimate the marginal distribution of Math scores, and collect Reading scores for a separate set of students to estimate the marginal distribution of Reading scores, and see if those two marginal distributions are the same.
Remember that a joint distribution is a probability distribution on pairs of values. Just because \(X_1\) and \(X_2\) have the same marginal distribution, and \(Y_1\) and \(Y_2\) have the same marginal distribution, doesn’t necessary imply that \((X_1, Y_1)\) and \((X_2, Y_2)\) have the same joint distributions. In general, information about the marginal distributions alone is not enough to determine information about the joint distribution. Comparing Example 2.41 and Example 2.43 provides another example of two scenarios with the same marginal distributions but different joint distributions.
The distribution of any random variable obtained via a transformation of multiple random variables will depend on the joint distribution of the random variables involved; for example, the distribution of \(X+Y\) depends on the joint distribution of \(X\) and \(Y\).
Do not confuse a random variable with its distribution. This is probably getting repetitive by now, but we’re emphasizing this point for a reason. Many common mistakes in probability problems involve confusing a random variable with its distribution. For example, we will soon that if a continuous random variable \(X\) has probability density function \(f(x)\), then the probability density function of \(X^2\) is NOT \(f(x^2)\) nor \((f(x))^2\). Mistakes like these, which are very common, essentially involve confusing a random variable with its distribution. Understanding the fundamental difference between a random variable and its distribution will help you avoid many common mistakes, especially in problems involving a lot of calculus or mathematical symbols.
3.16 Chapter exercises
TBA
In most situations we’ll encounter in this book, the “set up” step requires the most work and the most computer programming, while the “simulate” and “summarize” steps are usually straightforward. In many other cases, these steps can be challenging. Complex set ups often require sophisticated methods, such MCMC (Markov Chain Monte Carlo) algorithms, to efficiently simulate realizations. Effectively summarizing high dimensional simulation output often requires the use of multivariate statistics and visualizations.↩︎
Our use of “box models” is inspired by (Freedman, Pisani, and Purves 2007).↩︎
“With replacement” always implies replacement at a uniformly random point in the box. Think of “with replacement” as “with replacement and reshuffling” before the next draw.↩︎
If we’re repeating something many times, do we perform “a simulation” or “many simulations”? Throughout, “a simulation” refers to the collection of results corresponding to repeatedly artificially recreating the random process. “A repetition” refers to a single artificial recreation resulting in a single simulated outcome. We perform a simulation which consists of many repetitions.↩︎
Technically, a Normal(30, 10) distribution allows for values outside the [0, 60] interval, but the probability is small, roughly 0.003.↩︎
We primarily view a Symbulate probability space as a description of the probability model rather than an explicit specification of the sample space \(\Omega\). For example, we define a
BoxModelinstead of creating a set with all possible outcomes. We tend to represent a probability space withP, even though this is a slight abuse of notation (since \(\textrm{P}\) typically refers to a probability measure).↩︎The default argument for
replaceisTrue, so we could have just writtenBoxModel([1, 2, 3, 4], size = 2).↩︎There is an additional argument
order_matterswhich defaults toTrue, but we could set it toFalsefor unordered pairs.↩︎We generally use names in our code that mirror and reinforce standard probability notation, e.g., uppercase letters near the end of the alphabet for random variables, with corresponding lowercase letters for their realized values. Of course, these naming conventions are not necessary and you are welcome to use more descriptive names in your code. For example, we could have named the probability space
DiceRollsand the random variablesDiceSumandDiceMaxrather thanP, X, Y. Whatever you do, we encourage you to use names that distinguish the objects themselves from their simulated values, e.g.Dice_Sumfor the random variable anddice_sum_simfor the simulated values.↩︎Technically
&joins twoRVs together to form a random vector. While we often interpret SymbulateRVas “random variable”, it really functions as “random vector”.↩︎You might try
(P & X).sim(10). ButPis a probability space object, andXis anRVobject, and&can only be used to join like objects together. Much like in probability theory in general, in Symbulate the probability space plays a background role, and it is usually random variables we are interested in.↩︎The components of an
RVcan also be accessed using brackets.U1, U2 = RV(P)is shorthand for
U = RV(P); U1 = U[0]; U2 = U[1].↩︎We could have actually defined
Z = (X - 5) ** 2here. We’ll see examples where theapplysyntax is necessary later.↩︎We can also define
U = RV(P)and thenX = U.apply(sum).↩︎We can also define
U = RV(P)and thenX = U.apply(max).↩︎Braces
{}are used here because this defines a Python dictionary. But don’t confuse this code with set notation.↩︎Careful: don’t confuse
Uniform(a, b)withDiscreteUniform(a, b).Uniform(a, b)corresponds to the continuous interval \([a, b]\).↩︎We would typically only include the values observed in the simulation in the summary. However, we include 4 and 8 here because if we had performed more repetitions we would have observed these values.↩︎
“Normalize” is used in the sense of Section 1.3 and refers to rescaling the values so that they add up to 1 but the ratios are preserved.↩︎
For discrete random variables
'impulse'is the default plot type. Like.tabulate(), the.plot()method also has anormalizeargument; the default isnormalize=True.↩︎In 10000 flips, the probability of heads on between 49% and 51% of flips is 0.956, so 98 out of 100 provides a rough estimate of this probability. We will see how to compute such a probability later.↩︎
This is difficult to see in Figure 3.12 due to the binning. But we can at least tell from Figure 3.12 that at most a handful of the 100 sets resulted in a proportion of heads exactly equal to 0.5.↩︎
Technically, we should say “a margin of error for 95% confidence of 0.01”. We’ll discuss “confidence” in a little more detail soon.↩︎
In 1,000,000 flips, the probability of heads on between 49.9% and 50.1% of flips is 0.955, and 91 out of 100 sets provides a rough estimate of this probability.↩︎
In 100 million flips, the probability of heads on between 49.99% and 50.01% of flips is 0.977, and 96 out of 100 sets provides a rough estimate of this probability.↩︎
One difference between
RVandapply:applypreserves the type of the input object. That is, ifapplyis applied to aProbabilitySpacethen the output will be aProbabilitySpace; ifapplyis applied to anRVthen the output will be anRV. In contrast,RValways creates anRV.↩︎Unfortunately, for techincal reasons,
RV(P, count_eq(6) / N)will not work. It is possible to divide byNwithinRVif we define a custom functiondef rel_freq_six(x): return x.count_eq(6) / Nand then defineRV(P, rel_freq_six).↩︎We will see the rationale behind this formula later. The factor 2 comes from the fact that for a Normal distribution, about 95% of values are within 2 standard deviations of the mean. Technically, the factor 2 corresponds to 95% confidence only when a single probability is estimated. If multiple probabilities are estimated simultaneously, then alternative methods should be used, e.g., increasing the factor 2 using a Bonferroni correction. For example, a multiple of 4 rather than 2 produces very conservative error bounds for 95% confidence even when many probabilities are being estimated.↩︎
In all the situations in this book the repetitions will be simulated independently. However, there are many simulation methods where this is not true, most notably MCMC (Markov Chain Monte Carlo) methods. The margin of error needs to be adjusted to reflect any dependence between simulated values.↩︎
See the footnotes in Section 1.2.1.↩︎
It can be shown that the standard deviation is always at least as big as the average absolute deviation. For a Normal distribution, the average absolute deviation is about 0.8 times the standard deviation.↩︎
If you have some familiarity with statistics, you might have seen a formula for variance or standard deviation that includes dividing by one less than the number values (\(n-1\)). Dividing by \(n\) or \(n-1\) could make a difference in a small sample of data. However, we will always be interested in long run averages, and it typically won’t make any practical difference whether we divide by say 10000 or 9999. We’ll always compute averages by dividing by the number of values that we’re summing.↩︎
Think Pythagorean theorem: it’s \(a^2+b^2=c^2\). On the other hand, for absolute values we only have the triangle inequality \(|a+b| \le |a| + |b|\).↩︎
We usually represent joint distributions as two-way tables, but for this problem it helps to think of a table with one row for each pair.↩︎
All of our simulations are based on independently simulated repetitions. More sophisticated methods, such as Markov chain Monte Carlo (MCMC) methods, allow dependent repetitions and can approximate conditional probabilities much more efficiently.↩︎
Age_Snapchatis a pair soAge_Snapchat[0]is the first component (Age) andAge_Snapchat[1]is the second component (Snapchat user).↩︎In Symbulate, events being conditioned on need to be based on
RVs. But the code shows that Symbulate has a pretty broad interpretation of what can be anRV.↩︎.draw()is like.sim(1)but they have different properties. We will usually work with.sim()to actually run a simulation..draw()is useful in situations like this where we have to build a custom probability space from scratch.↩︎Python automatically treats
Trueas 1 andFalseas 0, so the code(y < 3)effectively returns both True/False realizations of the event itself and 1/0 realizations of the corresponding indicator random variable.↩︎We wrote this code to compare to the previous block that returned an error. Even though the revised code works, it’s clunky because we unpack the rolls and then rejoin them in random variable world and then unpack them again in simulation world. We could simplify a little by not unpacking and rejoining in random variable variable world, using
U = RV(P);u1_and_u2 = U.sim(10). This still isn’t the preferred way to sum the rolls, but we’re just illustrating a few ways to work in both random variable world and simulation world.↩︎Because of the way we defined
count_matcheswe need to redefine it if we changenandlabels, which is whycount_matchesis defined insidematching_sim.↩︎The simulation margin of error for relative frequency of at least one match is about 0.01 based on 10000 simulated values. We haven’t discussed simulation margins of error when aproximating expected values yet. In this case, the margin of error for a single average based on 10000 simulated values is about 0.02.↩︎
We might also be interested in other sensitivity analyses, such as what if the objects are not placed uniformly at random in the spots.↩︎
A distribution can also be interpreted as a subjective assessment of relative likelihood or plausibility, but here we’ll focus on the long run relative frequency interpretation.↩︎
There is no value judgment; sSuccess” just refers to whatever we’re counting. Did the thing we’re counting happen on this trial (“success) or not (”failure”). Success isn’t necessarily good.↩︎